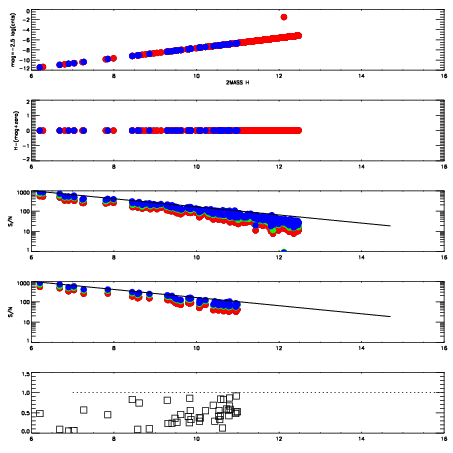
Left plots: red are targets, blue are telluric. Observed mags are calculated from median value of green chip. Zeropoint gives overall throughput: bigger number is more throughput.
First spatial plots: circles are objects, squares are tellurics, crosses are sky fibers. Colors give deviation of observed mag from expected 2MASS mag using the median zeropoint; red is brighter
Second spatial plots: circles are sky fibers. Colors give sky line brightness relative to plate median sky line brightness
FrameNreadsZeropointsMag plots Spatial mag deviation Spatial sky 16325A emission deviations (filled: sky, open: star) Spatial sky continuum emission Spatial sky telluric CO2 absorption deviations (filled: H < 10)
0 0
RedGreenBlue
z17.64
znorm Inf
sky -Inf -Inf -Inf
S/N 18.3 30.9 34.6
S/N(c) 0.0 0.0 0.0
SN(E/C) 0.45

01970042 0.00000 18.6776
01970043 0.00000 18.4416
01970044 0.00000 18.0708
01970045 0.00000 17.5621
01970046 0.00000 18.4247
01970047 0.00000 18.1362
01970048 0.00000 14.2827