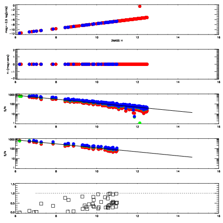
Left plots: red are targets, blue are telluric. Observed mags are calculated from median value of green chip. Zeropoint gives overall throughput: bigger number is more throughput.
First spatial plots: circles are objects, squares are tellurics, crosses are sky fibers. Colors give deviation of observed mag from expected 2MASS mag using the median zeropoint; red is brighter
Second spatial plots: circles are sky fibers. Colors give sky line brightness relative to plate median sky line brightness
FrameNreadsZeropointsMag plots Spatial mag deviation Spatial sky 16325A emission deviations (filled: sky, open: star) Spatial sky continuum emission Spatial sky telluric CO2 absorption deviations (filled: H < 10)
0 0
RedGreenBlue
z17.64
znorm Inf
sky -Inf -NaN -Inf
S/N 27.9 48.5 52.9
S/N(c) 0.0 0.0 0.0
SN(E/C) 0.40

IPAIRNAMESHIFTNEWSHIFTS/N NAMESHIFTNEWSHIFTS/N
0 02590017 0.419539 0.00000 19.1757 02590014 0.00187677 0.417662 19.0675
1 02590013 0.419489 5.00083e-05 19.1887 02590015 -0.000476446 0.420015 19.1280
2 02590016 0.417469 0.00207001 19.0578 02590011 0.00000 0.419539 19.0179
3 02590012 0.416648 0.00289100 18.9868 02590018 0.00349591 0.416043 18.9910