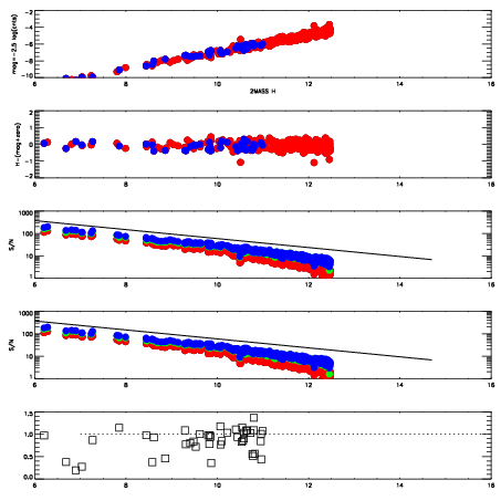
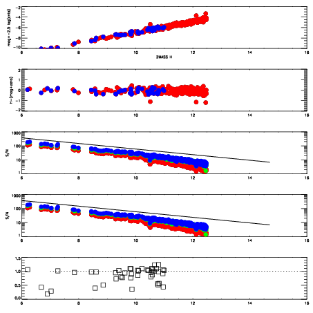
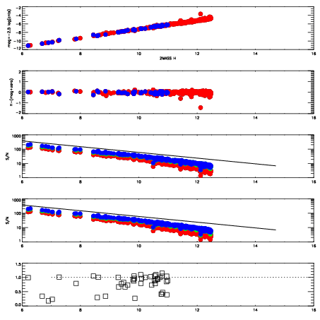
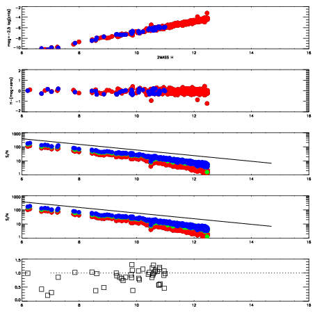
Frame | Nreads | Zeropoints | Mag plots
| Spatial mag deviation
| Spatial sky 16325A emission deviations (filled: sky, open: star)
| Spatial sky continuum emission
| Spatial sky telluric CO2 absorption deviations (filled: H < 10)
|
3060008
| 47
| | Red | Green | Blue
| z | | 17.28
| znorm | | 13.10
| sky | 14.7 | 14.4 | 14.3
| S/N | 4.2 | 9.0 | 8.6
| S/N(c) | 1.9 | 7.4 | 10.3
| SN(E/C) | 0.81
|
|
|
|
|
|
|
3060009
| 47
| | Red | Green | Blue
| z | | 17.26
| znorm | | 13.08
| sky | 15.1 | 14.9 | 15.0
| S/N | 4.1 | 9.0 | 8.9
| S/N(c) | 1.8 | 7.3 | 10.2
| SN(E/C) | 0.88
|
|
|
|
|
|
|
3060010
| 47
| | Red | Green | Blue
| z | | 17.22
| znorm | | 13.04
| sky | 15.1 | 14.9 | 15.0
| S/N | 3.7 | 8.1 | 8.5
| S/N(c) | 1.7 | 7.2 | 10.5
| SN(E/C) | 0.90
|
|
|
|
|
|
|
3060011
| 47
| | Red | Green | Blue
| z | | 17.05
| znorm | | 12.87
| sky | 15.2 | 15.0 | 15.0
| S/N | 3.1 | 7.0 | 7.1
| S/N(c) | 1.5 | 6.3 | 9.7
| SN(E/C) | 0.85
|
|
|
|
|
|
|
3060012
| 47
| | Red | Green | Blue
| z | | 17.03
| znorm | | 12.85
| sky | 15.0 | 15.0 | 15.2
| S/N | 2.7 | 6.9 | 6.9
| S/N(c) | 1.5 | 6.3 | 9.2
| SN(E/C) | 0.90
|
|
|
|
|
|
|
3060013
| 47
| | Red | Green | Blue
| z | | 16.99
| znorm | | 12.81
| sky | 15.2 | 15.1 | 15.2
| S/N | 2.9 | 6.6 | 6.7
| S/N(c) | 1.4 | 6.1 | 9.0
| SN(E/C) | 0.96
|
|
|
|
|
|
|
3060014
| 47
| | Red | Green | Blue
| z | | 16.89
| znorm | | 12.71
| sky | 15.0 | 15.1 | 15.1
| S/N | 2.6 | 6.3 | 6.1
| S/N(c) | 1.3 | 5.8 | 8.7
| SN(E/C) | 0.92
|
|
|
|
|
|
|
3060015
| 47
| | Red | Green | Blue
| z | | 17.00
| znorm | | 12.82
| sky | 15.0 | 15.0 | 15.2
| S/N | 2.8 | 7.0 | 6.8
| S/N(c) | 1.4 | 6.1 | 9.1
| SN(E/C) | 0.85
|
|
|
|
|
|
|