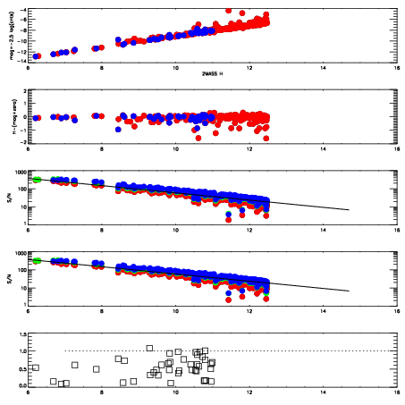
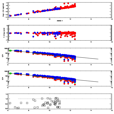
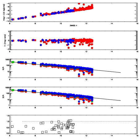
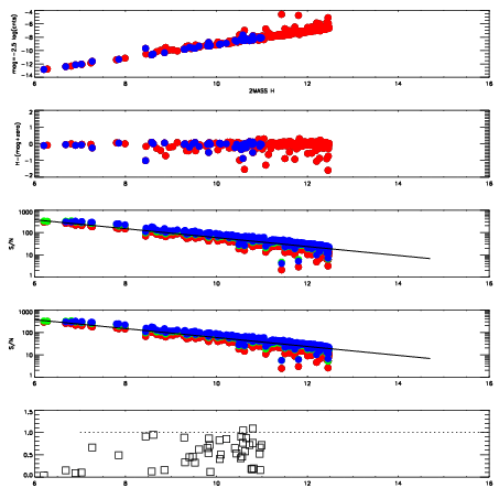
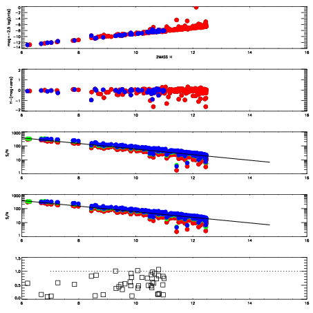
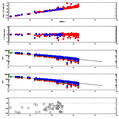
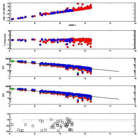
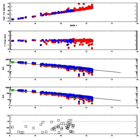
Frame | Nreads | Zeropoints | Mag plots
| Spatial mag deviation
| Spatial sky 16325A emission deviations (filled: sky, open: star)
| Spatial sky continuum emission
| Spatial sky telluric CO2 absorption deviations (filled: H < 10)
|
3070008
| 47
| | Red | Green | Blue
| z | | 19.10
| znorm | | 14.92
| sky | 14.3 | 14.1 | 13.9
| S/N | 15.8 | 25.9 | 26.7
| S/N(c) | 5.7 | 18.9 | 27.1
| SN(E/C) | 0.55
|
|
|
|
|
|
|
3070009
| 47
| | Red | Green | Blue
| z | | 19.06
| znorm | | 14.88
| sky | 14.7 | 14.4 | 14.3
| S/N | 15.1 | 25.1 | 26.1
| S/N(c) | 5.5 | 18.4 | 26.2
| SN(E/C) | 0.54
|
|
|
|
|
|
|
3070010
| 47
| | Red | Green | Blue
| z | | 19.14
| znorm | | 14.96
| sky | 14.5 | 14.4 | 14.3
| S/N | 15.8 | 25.9 | 27.8
| S/N(c) | 5.8 | 19.3 | 27.4
| SN(E/C) | 0.50
|
|
|
|
|
|
|
3070011
| 47
| | Red | Green | Blue
| z | | 19.15
| znorm | | 14.97
| sky | 14.8 | 14.4 | 14.3
| S/N | 15.9 | 26.2 | 27.9
| S/N(c) | 5.8 | 19.1 | 27.7
| SN(E/C) | 0.51
|
|
|
|
|
|
|
3070012
| 47
| | Red | Green | Blue
| z | | 19.10
| znorm | | 14.92
| sky | 14.3 | 14.2 | 14.2
| S/N | 15.0 | 25.3 | 26.8
| S/N(c) | 5.5 | 18.6 | 27.2
| SN(E/C) | 0.53
|
|
|
|
|
|
|
3070013
| 47
| | Red | Green | Blue
| z | | 19.13
| znorm | | 14.95
| sky | 14.4 | 14.2 | 14.0
| S/N | 15.3 | 25.9 | 27.5
| S/N(c) | 5.6 | 18.9 | 27.6
| SN(E/C) | 0.53
|
|
|
|
|
|
|
3070014
| 47
| | Red | Green | Blue
| z | | 19.12
| znorm | | 14.94
| sky | 14.4 | 14.3 | 14.3
| S/N | 15.4 | 26.0 | 27.5
| S/N(c) | 5.6 | 19.0 | 27.6
| SN(E/C) | 0.53
|
|
|
|
|
|
|
3070015
| 47
| | Red | Green | Blue
| z | | 19.11
| znorm | | 14.93
| sky | 14.3 | 14.1 | 14.2
| S/N | 15.5 | 25.8 | 27.7
| S/N(c) | 5.6 | 18.8 | 27.4
| SN(E/C) | 0.54
|
|
|
|
|
|
|