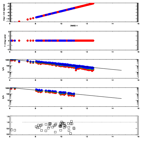
Left plots: red are targets, blue are telluric. Observed mags are calculated from median value of green chip. Zeropoint gives overall throughput: bigger number is more throughput.
First spatial plots: circles are objects, squares are tellurics, crosses are sky fibers. Colors give deviation of observed mag from expected 2MASS mag using the median zeropoint; red is brighter
Second spatial plots: circles are sky fibers. Colors give sky line brightness relative to plate median sky line brightness
FrameNreadsZeropointsMag plots Spatial mag deviation Spatial sky 16325A emission deviations (filled: sky, open: star) Spatial sky continuum emission Spatial sky telluric CO2 absorption deviations (filled: H < 10)
0 0
RedGreenBlue
z17.64
znorm Inf
sky -Inf -NaN -Inf
S/N 27.7 46.6 52.2
S/N(c) 0.0 0.0 0.0
SN(E/C) 0.70

01730033 0.00000 18.6143
01730034 0.00000 18.8401
01730035 0.00000 18.6639
01730036 0.00000 18.7333
01730037 0.00000 18.7663
01730038 0.00000 18.8636
01730039 0.00000 18.9690