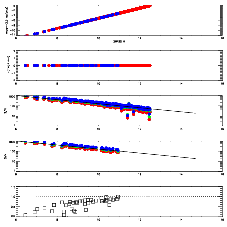
Left plots: red are targets, blue are telluric. Observed mags are calculated from median value of green chip. Zeropoint gives overall throughput: bigger number is more throughput.
First spatial plots: circles are objects, squares are tellurics, crosses are sky fibers. Colors give deviation of observed mag from expected 2MASS mag using the median zeropoint; red is brighter
Second spatial plots: circles are sky fibers. Colors give sky line brightness relative to plate median sky line brightness
FrameNreadsZeropointsMag plots Spatial mag deviation Spatial sky 16325A emission deviations (filled: sky, open: star) Spatial sky continuum emission Spatial sky telluric CO2 absorption deviations (filled: H < 10)
0 0
RedGreenBlue
z17.64
znorm Inf
sky -Inf -NaN -Inf
S/N 34.6 56.2 61.3
S/N(c) 0.0 0.0 0.0
SN(E/C) 0.72

01960041 0.00000 19.0655
01960042 0.00000 19.0715
01960043 0.00000 19.0419
01960044 0.00000 19.0769
01960045 0.00000 19.0505
01960046 0.00000 19.0197
01960047 0.00000 18.9412