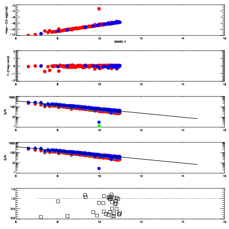
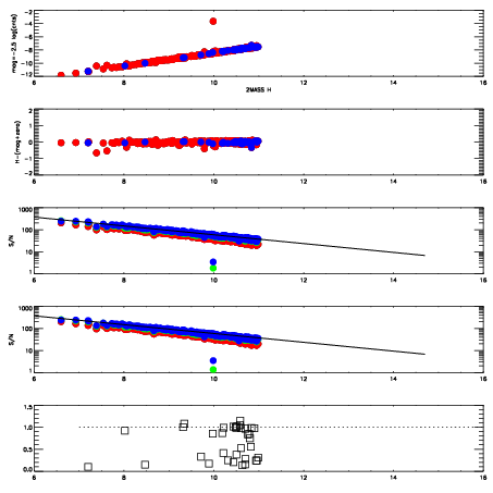
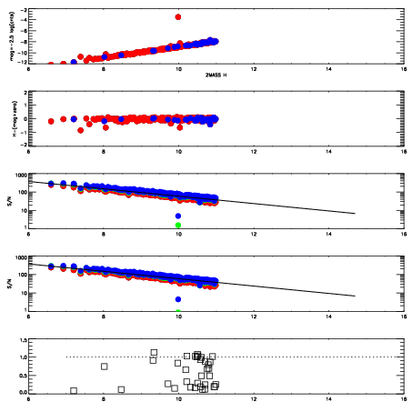
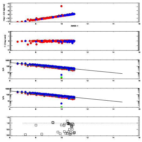
Frame | Nreads | Zeropoints | Mag plots
| Spatial mag deviation
| Spatial sky 16325A emission deviations (filled: sky, open: star)
| Spatial sky continuum emission
| Spatial sky telluric CO2 absorption deviations (filled: H < 10)
|
12660048
| 47
| | Red | Green | Blue
| z | | 18.94
| znorm | | 14.76
| sky | 14.0 | 13.6 | 13.7
| S/N | 17.4 | 24.4 | 25.7
| S/N(c) | 19.3 | 11.8 | 10.6
| SN(E/C) | 0.66
|
|
|
|
|
|
|
12660049
| 47
| | Red | Green | Blue
| z | | 18.81
| znorm | | 14.63
| sky | 13.9 | 13.6 | 13.8
| S/N | 16.1 | 22.9 | 23.9
| S/N(c) | 18.0 | 11.0 | 9.7
| SN(E/C) | 0.73
|
|
|
|
|
|
|
12660050
| 47
| | Red | Green | Blue
| z | | 18.05
| znorm | | 13.87
| sky | 14.0 | 13.7 | 14.0
| S/N | 10.0 | 15.3 | 16.1
| S/N(c) | 11.6 | 7.6 | 6.6
| SN(E/C) | 0.86
|
|
|
|
|
|
|
12660051
| 47
| | Red | Green | Blue
| z | | 17.98
| znorm | | 13.80
| sky | 14.0 | 13.9 | 14.0
| S/N | 9.7 | 14.9 | 15.8
| S/N(c) | 11.0 | 7.3 | 6.3
| SN(E/C) | 0.87
|
|
|
|
|
|
|
12660052
| 47
| | Red | Green | Blue
| z | | 18.64
| znorm | | 14.46
| sky | 14.1 | 13.7 | 13.9
| S/N | 14.4 | 21.0 | 22.0
| S/N(c) | 16.3 | 10.3 | 8.9
| SN(E/C) | 0.77
|
|
|
|
|
|
|
12660053
| 47
| | Red | Green | Blue
| z | | 18.65
| znorm | | 14.47
| sky | 14.0 | 13.8 | 13.9
| S/N | 14.5 | 21.4 | 22.1
| S/N(c) | 16.5 | 10.3 | 9.0
| SN(E/C) | 0.75
|
|
|
|
|
|
|
12660054
| 47
| | Red | Green | Blue
| z | | 18.59
| znorm | | 14.41
| sky | 13.9 | 13.7 | 13.9
| S/N | 13.9 | 20.6 | 21.5
| S/N(c) | 15.8 | 10.1 | 8.8
| SN(E/C) | 0.83
|
|
|
|
|
|
|
12660055
| 47
| | Red | Green | Blue
| z | | 18.47
| znorm | | 14.29
| sky | 14.0 | 13.6 | 13.8
| S/N | 12.9 | 19.2 | 20.7
| S/N(c) | 14.9 | 9.4 | 8.3
| SN(E/C) | 0.84
|
|
|
|
|
|
|