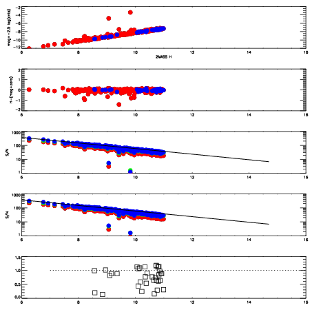
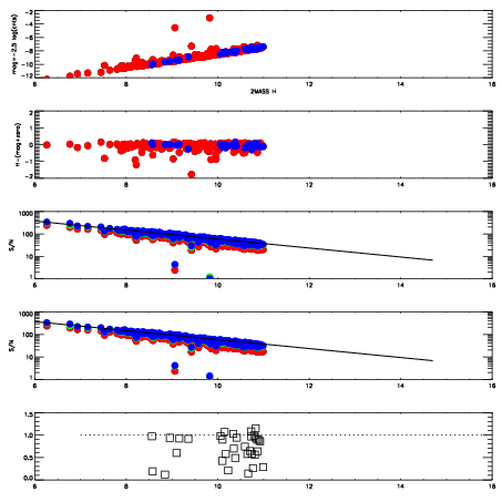
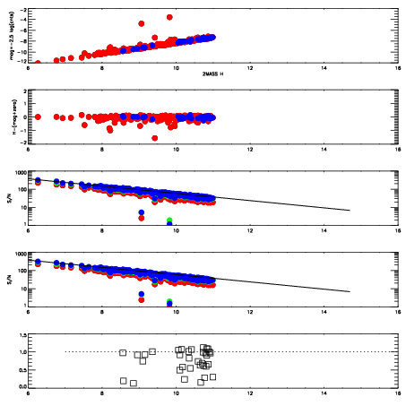
Frame | Nreads | Zeropoints | Mag plots
| Spatial mag deviation
| Spatial sky 16325A emission deviations (filled: sky, open: star)
| Spatial sky continuum emission
| Spatial sky telluric CO2 absorption deviations (filled: H < 10)
|
12660037
| 47
| | Red | Green | Blue
| z | | 18.30
| znorm | | 14.11
| sky | 13.7 | 13.3 | 13.3
| S/N | 11.7 | 17.9 | 18.0
| S/N(c) | 17.8 | 24.1 | 21.3
| SN(E/C) | 0.85
|
|
|
|
|
|
|
12660038
| 47
| | Red | Green | Blue
| z | | 18.28
| znorm | | 14.10
| sky | 13.8 | 13.5 | 13.6
| S/N | 11.7 | 17.8 | 18.9
| S/N(c) | 17.7 | 24.2 | 21.7
| SN(E/C) | 0.84
|
|
|
|
|
|
|
12660039
| 47
| | Red | Green | Blue
| z | | 18.50
| znorm | | 14.32
| sky | 13.7 | 13.5 | 13.5
| S/N | 13.2 | 19.8 | 20.5
| S/N(c) | 19.6 | 26.7 | 24.0
| SN(E/C) | 0.86
|
|
|
|
|
|
|
12660040
| 47
| | Red | Green | Blue
| z | | 18.33
| znorm | | 14.15
| sky | 13.8 | 13.5 | 13.6
| S/N | 12.0 | 18.3 | 19.1
| S/N(c) | 18.1 | 24.7 | 22.1
| SN(E/C) | 0.90
|
|
|
|
|
|
|
12660041
| 47
| | Red | Green | Blue
| z | | 18.63
| znorm | | 14.45
| sky | 13.8 | 13.5 | 13.6
| S/N | 14.4 | 21.7 | 22.6
| S/N(c) | 21.4 | 28.9 | 26.0
| SN(E/C) | 0.73
|
|
|
|
|
|
|
12660042
| 47
| | Red | Green | Blue
| z | | 18.71
| znorm | | 14.53
| sky | 13.8 | 13.6 | 13.7
| S/N | 15.0 | 22.4 | 23.8
| S/N(c) | 21.5 | 29.1 | 26.9
| SN(E/C) | 0.78
|
|
|
|
|
|
|
12660043
| 47
| | Red | Green | Blue
| z | | 18.81
| znorm | | 14.62
| sky | 13.7 | 13.5 | 13.6
| S/N | 15.8 | 23.7 | 25.0
| S/N(c) | 23.0 | 30.8 | 28.0
| SN(E/C) | 0.76
|
|
|
|
|
|
|
12660044
| 47
| | Red | Green | Blue
| z | | 18.87
| znorm | | 14.69
| sky | 13.8 | 13.6 | 13.6
| S/N | 16.4 | 24.6 | 26.5
| S/N(c) | 24.5 | 32.4 | 29.5
| SN(E/C) | 0.78
|
|
|
|
|
|
|