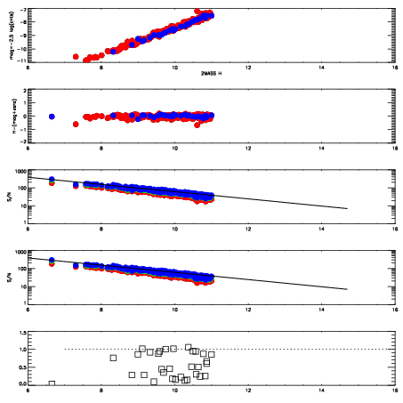
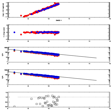
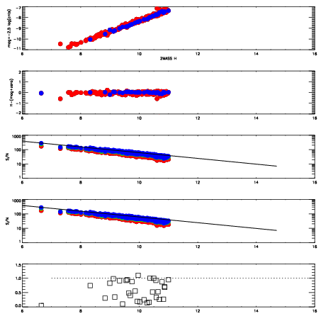
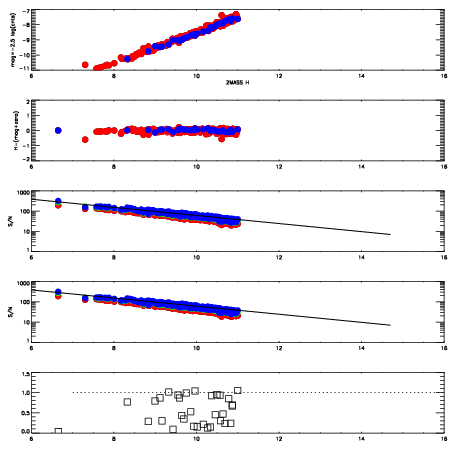
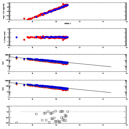
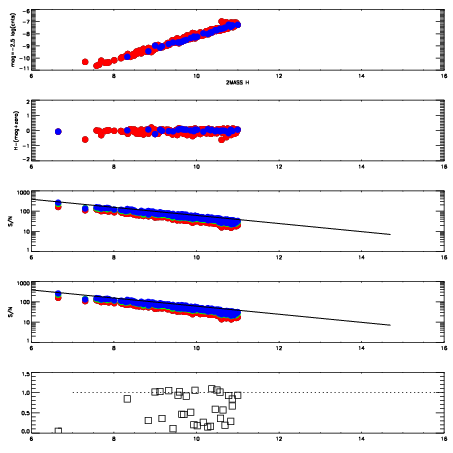
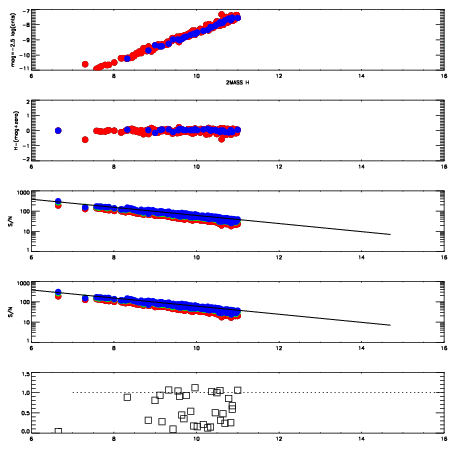
Left plots: red are targets, blue are telluric. Observed mags are calculated from median value of green chip. Zeropoint gives overall throughput: bigger number is more throughput.
First spatial plots: circles are objects, squares are tellurics, crosses are sky fibers. Colors give deviation of observed mag from expected 2MASS mag using the median zeropoint; red is brighter
Second spatial plots: circles are sky fibers. Colors give sky line brightness relative to plate median sky line brightness
FrameNreadsZeropointsMag plots Spatial mag deviation Spatial sky 16325A emission deviations (filled: sky, open: star) Spatial sky continuum emission Spatial sky telluric CO2 absorption deviations (filled: H < 10)
1720067 50
RedGreenBlue
z18.55
znorm14.30
sky 14.1 13.7 13.8
S/N 14.6 20.4 21.1
S/N(c) 14.7 19.1 11.7
SN(E/C) 0.52
1720068 50
RedGreenBlue
z18.51
znorm14.26
sky 14.1 13.9 14.1
S/N 14.1 20.2 20.8
S/N(c) 14.4 18.4 11.5
SN(E/C) 0.54
1720069 50
RedGreenBlue
z18.48
znorm14.23
sky 14.2 14.0 14.2
S/N 13.8 19.8 20.6
S/N(c) 14.0 18.2 11.3
SN(E/C) 0.51
1720070 50
RedGreenBlue
z18.44
znorm14.19
sky 14.0 14.0 14.2
S/N 13.6 19.5 20.1
S/N(c) 13.9 17.8 11.1
SN(E/C) 0.53
1720071 50
RedGreenBlue
z18.57
znorm14.32
sky 14.1 13.9 14.2
S/N 14.5 20.6 21.6
S/N(c) 14.9 19.1 12.0
SN(E/C) 0.50
1720072 50
RedGreenBlue
z18.35
znorm14.10
sky 14.1 13.9 14.2
S/N 12.8 18.6 19.2
S/N(c) 13.1 16.9 10.7
SN(E/C) 0.55
1720073 50
RedGreenBlue
z18.21
znorm13.96
sky 14.2 14.0 14.2
S/N 11.7 17.3 17.8
S/N(c) 12.0 15.7 10.2
SN(E/C) 0.59