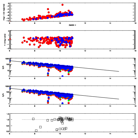
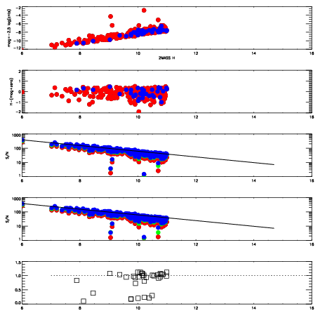
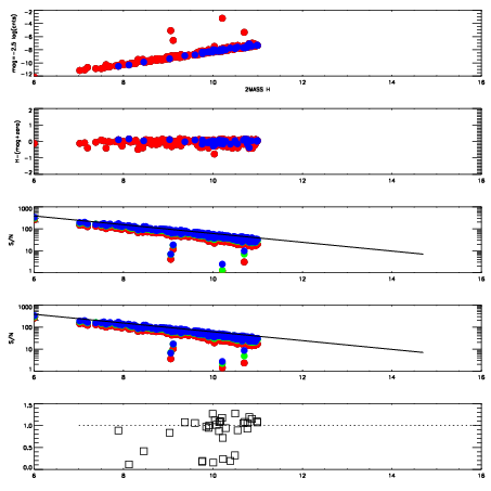
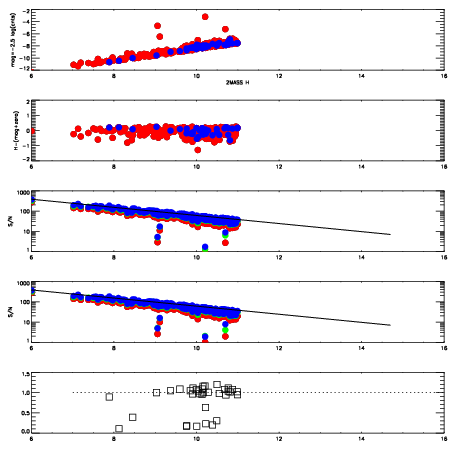
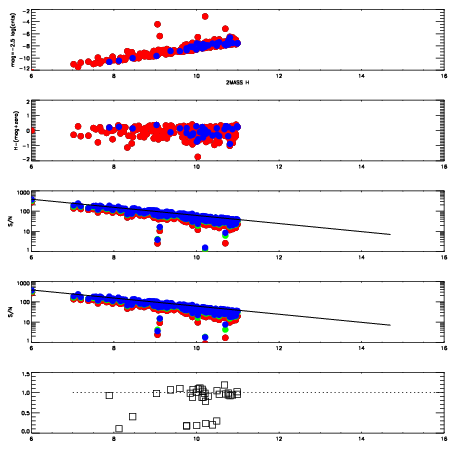
Left plots: red are targets, blue are telluric. Observed mags are calculated from median value of green chip. Zeropoint gives overall throughput: bigger number is more throughput.
First spatial plots: circles are objects, squares are tellurics, crosses are sky fibers. Colors give deviation of observed mag from expected 2MASS mag using the median zeropoint; red is brighter
Second spatial plots: circles are sky fibers. Colors give sky line brightness relative to plate median sky line brightness
FrameNreadsZeropointsMag plots Spatial mag deviation Spatial sky 16325A emission deviations (filled: sky, open: star) Spatial sky continuum emission Spatial sky telluric CO2 absorption deviations (filled: H < 10)
1720078 50
RedGreenBlue
z18.28
znorm14.03
sky 14.0 13.8 14.1
S/N 11.2 16.2 17.2
S/N(c) 11.3 10.8 8.4
SN(E/C) 1.00
1720079 50
RedGreenBlue
z18.36
znorm14.11
sky 14.1 13.8 14.1
S/N 10.7 15.8 16.8
S/N(c) 11.5 11.0 8.5
SN(E/C) 1.00
1720080 50
RedGreenBlue
z18.39
znorm14.14
sky 14.1 13.8 14.0
S/N 11.3 16.6 17.2
S/N(c) 11.7 11.2 8.6
SN(E/C) 0.94
1720081 50
RedGreenBlue
z18.32
znorm14.07
sky 14.1 13.9 14.1
S/N 10.0 15.0 15.5
S/N(c) 11.1 10.5 8.3
SN(E/C) 0.96
1720082 50
RedGreenBlue
z18.33
znorm14.08
sky 14.0 13.9 14.1
S/N 9.6 14.1 15.0
S/N(c) 11.0 10.6 8.3
SN(E/C) 0.97
1720083 50
RedGreenBlue
z18.23
znorm13.98
sky 14.1 13.9 14.0
S/N 8.8 13.0 14.2
S/N(c) 10.6 10.1 7.9
SN(E/C) 0.99