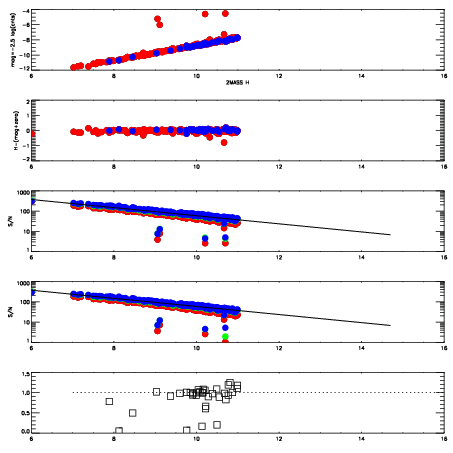
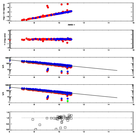
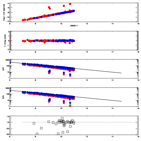
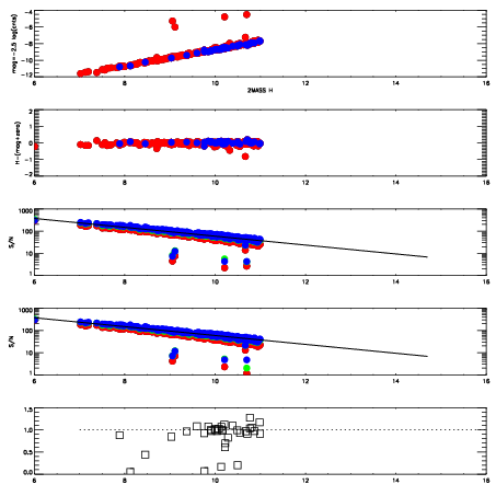
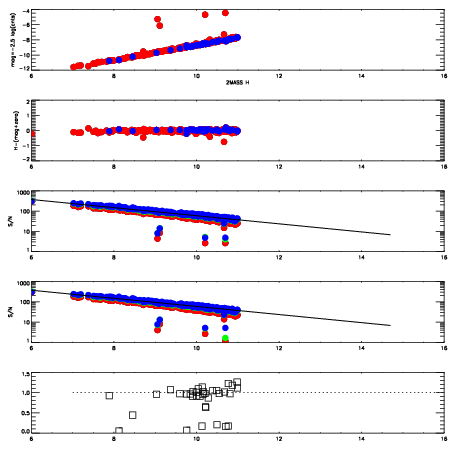
Frame | Nreads | Zeropoints | Mag plots
| Spatial mag deviation
| Spatial sky 16325A emission deviations (filled: sky, open: star)
| Spatial sky continuum emission
| Spatial sky telluric CO2 absorption deviations (filled: H < 10)
|
12710017
| 47
| | Red | Green | Blue
| z | | 18.29
| znorm | | 14.11
| sky | 13.9 | 13.8 | 13.7
| S/N | 12.5 | 18.1 | 17.9
| S/N(c) | 14.1 | 20.8 | 8.6
| SN(E/C) | 0.97
|
|
|
|
|
|
|
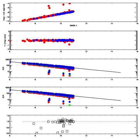
12710018
| 47
| | Red | Green | Blue
| z | | 18.38
| znorm | | 14.20
| sky | 14.0 | 14.0 | 14.0
| S/N | 12.9 | 18.7 | 18.9
| S/N(c) | 14.7 | 22.0 | 9.0
| SN(E/C) | 0.99
|
|
|
|
|
|
|
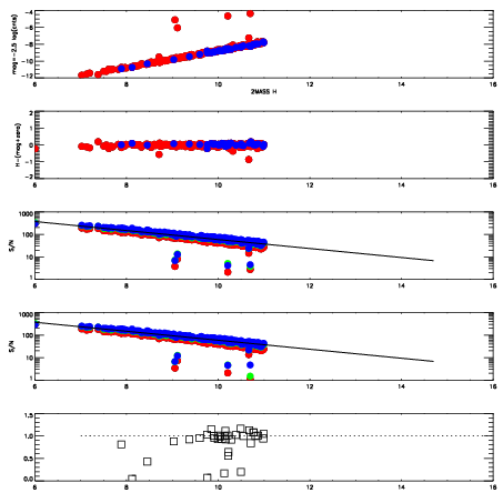
12710019
| 47
| | Red | Green | Blue
| z | | 18.67
| znorm | | 14.49
| sky | 14.0 | 14.0 | 14.0
| S/N | 15.0 | 21.8 | 22.2
| S/N(c) | 17.1 | 25.2 | 10.6
| SN(E/C) | 0.97
|
|
|
|
|
|
|
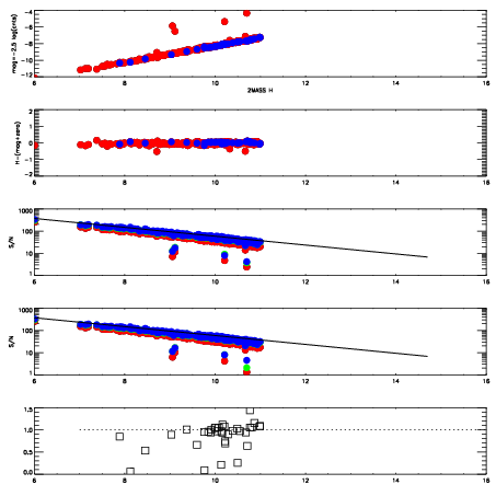
12710020
| 47
| | Red | Green | Blue
| z | | 18.78
| znorm | | 14.60
| sky | 14.0 | 13.9 | 14.0
| S/N | 16.2 | 23.0 | 23.8
| S/N(c) | 18.1 | 26.8 | 11.1
| SN(E/C) | 0.95
|
|
|
|
|
|
|
12710021
| 47
| | Red | Green | Blue
| z | | 18.70
| znorm | | 14.52
| sky | 14.1 | 14.0 | 14.1
| S/N | 15.3 | 22.1 | 22.7
| S/N(c) | 17.3 | 25.7 | 10.7
| SN(E/C) | 0.97
|
|
|
|
|
|
|
12710022
| 47
| | Red | Green | Blue
| z | | 18.70
| znorm | | 14.52
| sky | 13.9 | 14.0 | 14.0
| S/N | 15.2 | 22.0 | 22.8
| S/N(c) | 17.2 | 25.6 | 10.6
| SN(E/C) | 0.96
|
|
|
|
|
|
|
12710023
| 47
| | Red | Green | Blue
| z | | 18.72
| znorm | | 14.54
| sky | 13.9 | 13.8 | 13.9
| S/N | 15.2 | 22.0 | 22.7
| S/N(c) | 17.4 | 25.8 | 10.7
| SN(E/C) | 0.97
|
|
|
|
|
|
|
12710024
| 47
| | Red | Green | Blue
| z | | 18.74
| znorm | | 14.56
| sky | 14.1 | 14.0 | 14.0
| S/N | 15.3 | 22.3 | 23.3
| S/N(c) | 17.6 | 26.1 | 10.9
| SN(E/C) | 0.98
|
|
|
|
|
|
|