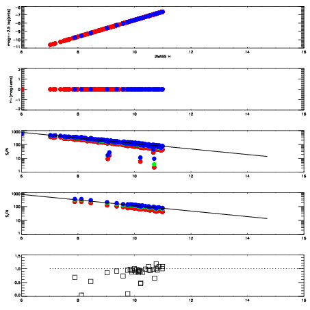
Left plots: red are targets, blue are telluric. Observed mags are calculated from median value of green chip. Zeropoint gives overall throughput: bigger number is more throughput.
First spatial plots: circles are objects, squares are tellurics, crosses are sky fibers. Colors give deviation of observed mag from expected 2MASS mag using the median zeropoint; red is brighter
Second spatial plots: circles are sky fibers. Colors give sky line brightness relative to plate median sky line brightness
FrameNreadsZeropointsMag plots Spatial mag deviation Spatial sky 16325A emission deviations (filled: sky, open: star) Spatial sky continuum emission Spatial sky telluric CO2 absorption deviations (filled: H < 10)
0 0
RedGreenBlue
z17.64
znorm Inf
sky -Inf -NaN -Inf
S/N 26.6 39.8 40.9
S/N(c) 0.0 0.0 0.0
SN(E/C) 0.93

IPAIRNAMESHIFTNEWSHIFTS/N NAMESHIFTNEWSHIFTS/N
0 12710023 0.490183 0.00000 18.7219 12710020 4.14373e-05 0.490142 18.7799
1 12710022 0.489641 0.000541985 18.6984 12710024 0.00121686 0.488966 18.7357
2 12710019 0.487655 0.00252798 18.6660 12710021 8.36505e-05 0.490099 18.7007
3 12710018 0.488088 0.00209498 18.3739 12710017 0.00000 0.490183 18.2855