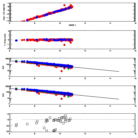
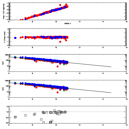
Frame | Nreads | Zeropoints | Mag plots
| Spatial mag deviation
| Spatial sky 16325A emission deviations (filled: sky, open: star)
| Spatial sky continuum emission
| Spatial sky telluric CO2 absorption deviations (filled: H < 10)
|
12730033
| 47
| | Red | Green | Blue
| z | | 19.07
| znorm | | 14.89
| sky | 13.9 | 13.7 | 13.8
| S/N | 18.9 | 25.6 | 25.8
| S/N(c) | 21.5 | 16.7 | 13.2
| SN(E/C) | 0.89
|
|
|
|
|
|
|
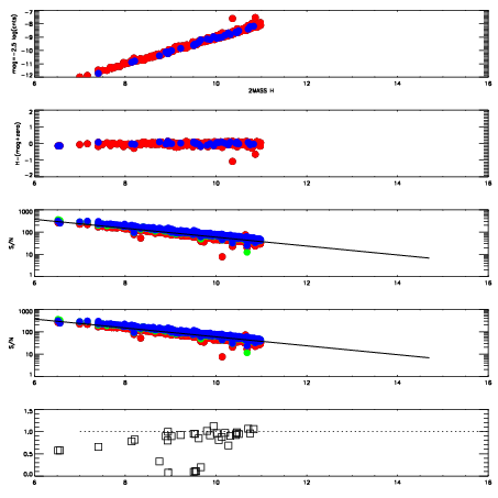
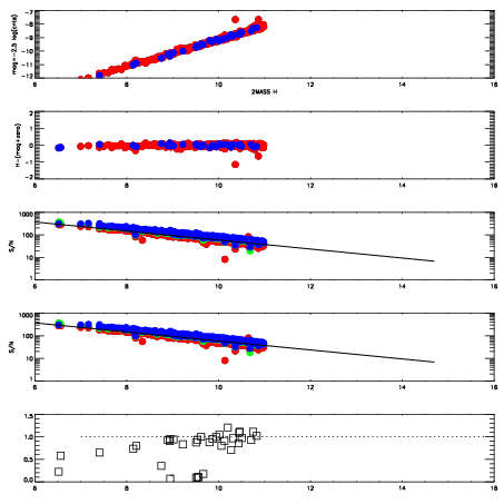
12730034
| 47
| | Red | Green | Blue
| z | | 19.11
| znorm | | 14.93
| sky | 13.9 | 13.7 | 13.8
| S/N | 19.3 | 26.1 | 26.6
| S/N(c) | 21.9 | 17.2 | 13.6
| SN(E/C) | 0.92
|
|
|
|
|
|
|
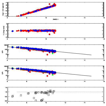
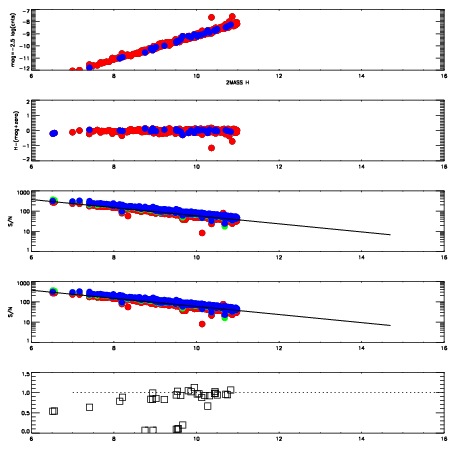
12730035
| 47
| | Red | Green | Blue
| z | | 19.16
| znorm | | 14.98
| sky | 13.8 | 13.6 | 13.8
| S/N | 19.9 | 26.6 | 27.5
| S/N(c) | 22.3 | 17.6 | 13.9
| SN(E/C) | 0.92
|
|
|
|
|
|
|
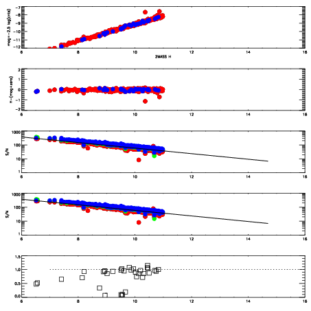
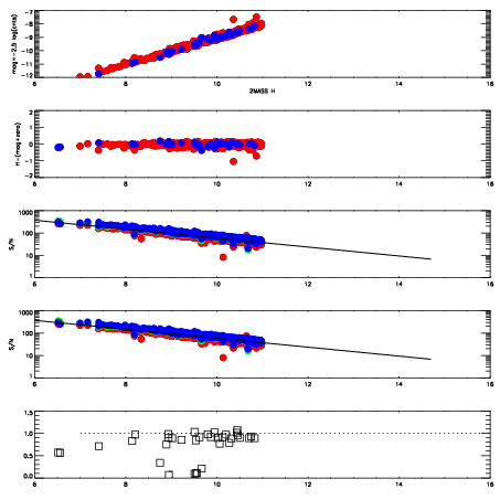
12730036
| 47
| | Red | Green | Blue
| z | | 19.17
| znorm | | 14.99
| sky | 13.7 | 13.7 | 13.7
| S/N | 19.9 | 26.8 | 27.3
| S/N(c) | 22.3 | 17.6 | 13.9
| SN(E/C) | 0.92
|
|
|
|
|
|
|
12730037
| 47
| | Red | Green | Blue
| z | | 19.05
| znorm | | 14.87
| sky | 13.8 | 13.6 | 13.7
| S/N | 18.7 | 25.4 | 26.0
| S/N(c) | 21.4 | 16.6 | 13.2
| SN(E/C) | 0.90
|
|
|
|
|
|
|
12730038
| 47
| | Red | Green | Blue
| z | | 19.07
| znorm | | 14.89
| sky | 13.8 | 13.8 | 13.9
| S/N | 18.8 | 25.5 | 26.3
| S/N(c) | 21.4 | 16.9 | 13.5
| SN(E/C) | 0.88
|
|
|
|
|
|
|
12730039
| 47
| | Red | Green | Blue
| z | | 19.11
| znorm | | 14.93
| sky | 13.8 | 13.9 | 13.9
| S/N | 19.3 | 26.1 | 27.1
| S/N(c) | 22.0 | 17.1 | 13.7
| SN(E/C) | 0.92
|
|
|
|
|
|
|
12730040
| 47
| | Red | Green | Blue
| z | | 19.17
| znorm | | 14.99
| sky | 13.9 | 13.9 | 13.9
| S/N | 19.9 | 26.8 | 28.1
| S/N(c) | 22.6 | 17.8 | 14.3
| SN(E/C) | 0.90
|
|
|
|
|
|
|