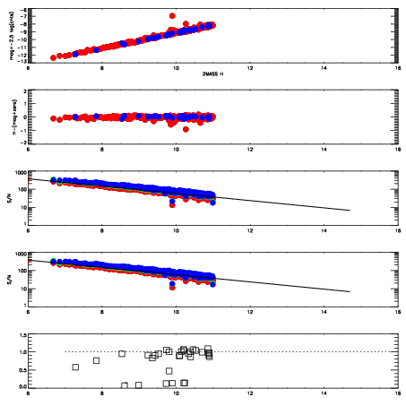
Frame | Nreads | Zeropoints | Mag plots
| Spatial mag deviation
| Spatial sky 16325A emission deviations (filled: sky, open: star)
| Spatial sky continuum emission
| Spatial sky telluric CO2 absorption deviations (filled: H < 10)
|
12730044
| 47
| | Red | Green | Blue
| z | | 19.15
| znorm | | 14.96
| sky | 13.9 | 13.8 | 13.8
| S/N | 18.6 | 27.4 | 29.3
| S/N(c) | 20.1 | 17.1 | 13.5
| SN(E/C) | 0.94
|
|
|
|
|
|
|
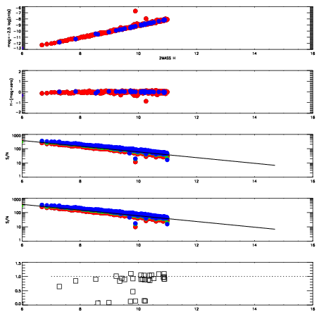
12730045
| 47
| | Red | Green | Blue
| z | | 19.15
| znorm | | 14.97
| sky | 13.9 | 13.7 | 13.8
| S/N | 18.6 | 27.4 | 29.3
| S/N(c) | 20.0 | 17.2 | 13.6
| SN(E/C) | 0.92
|
|
|
|
|
|
|
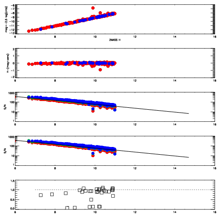
12730046
| 47
| | Red | Green | Blue
| z | | 19.13
| znorm | | 14.95
| sky | 13.9 | 13.7 | 13.8
| S/N | 18.5 | 27.1 | 28.8
| S/N(c) | 20.0 | 17.0 | 13.7
| SN(E/C) | 0.92
|
|
|
|
|
|
|
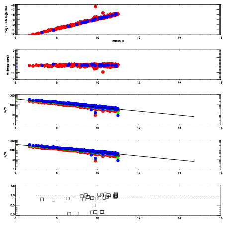
12730047
| 47
| | Red | Green | Blue
| z | | 19.17
| znorm | | 14.99
| sky | 13.7 | 13.7 | 13.9
| S/N | 18.6 | 27.5 | 29.4
| S/N(c) | 20.1 | 17.3 | 13.8
| SN(E/C) | 0.93
|
|
|
|
|
|
|
12730048
| 47
| | Red | Green | Blue
| z | | 18.84
| znorm | | 14.66
| sky | 13.9 | 13.8 | 13.9
| S/N | 15.5 | 23.4 | 25.1
| S/N(c) | 17.1 | 14.7 | 11.7
| SN(E/C) | 0.87
|
|
|
|
|
|
|
12730049
| 47
| | Red | Green | Blue
| z | | 19.19
| znorm | | 15.01
| sky | 13.8 | 13.7 | 13.8
| S/N | 19.1 | 27.8 | 29.8
| S/N(c) | 20.4 | 17.6 | 14.1
| SN(E/C) | 0.92
|
|
|
|
|
|
|
12730050
| 47
| | Red | Green | Blue
| z | | 19.04
| znorm | | 14.86
| sky | 13.9 | 13.9 | 13.9
| S/N | 17.6 | 26.1 | 27.5
| S/N(c) | 19.2 | 16.3 | 13.3
| SN(E/C) | 0.93
|
|
|
|
|
|
|
12730051
| 47
| | Red | Green | Blue
| z | | 19.09
| znorm | | 14.91
| sky | 13.8 | 13.7 | 13.8
| S/N | 18.2 | 26.6 | 28.2
| S/N(c) | 19.6 | 16.8 | 13.6
| SN(E/C) | 0.90
|
|
|
|
|
|
|