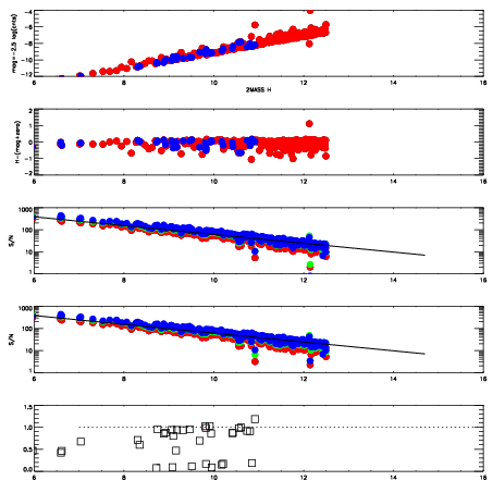
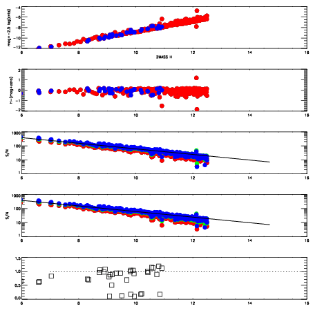
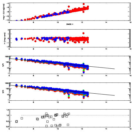
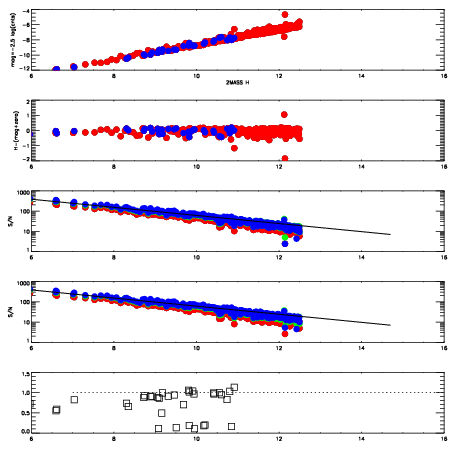
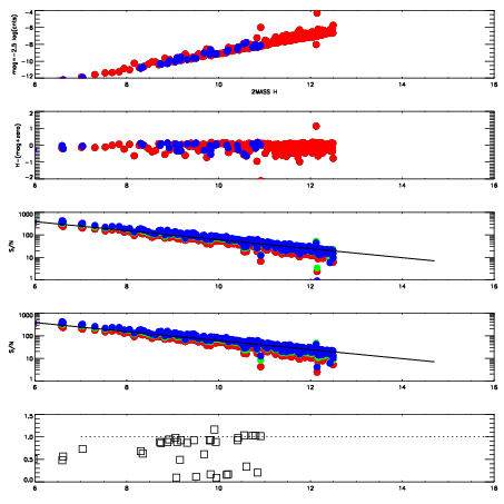
Left plots: red are targets, blue are telluric. Observed mags are calculated from median value of green chip. Zeropoint gives overall throughput: bigger number is more throughput.
First spatial plots: circles are objects, squares are tellurics, crosses are sky fibers. Colors give deviation of observed mag from expected 2MASS mag using the median zeropoint; red is brighter
Second spatial plots: circles are sky fibers. Colors give sky line brightness relative to plate median sky line brightness
FrameNreadsZeropointsMag plots Spatial mag deviation Spatial sky 16325A emission deviations (filled: sky, open: star) Spatial sky continuum emission Spatial sky telluric CO2 absorption deviations (filled: H < 10)
1720086 50
RedGreenBlue
z18.67
znorm14.42
sky 14.2 14.0 13.7
S/N 12.4 19.6 18.9
S/N(c) 10.9 13.8 10.1
SN(E/C) 0.88
1720087 50
RedGreenBlue
z18.78
znorm14.53
sky 14.3 14.0 13.9
S/N 13.4 20.7 20.4
S/N(c) 11.5 14.4 10.5
SN(E/C) 0.88
1720088 50
RedGreenBlue
z18.89
znorm14.64
sky 14.4 14.0 13.9
S/N 14.7 21.6 22.1
S/N(c) 11.5 15.3 11.2
SN(E/C) 0.84
1720089 50
RedGreenBlue
z19.03
znorm14.78
sky 14.3 14.1 13.8
S/N 15.6 23.9 23.8
S/N(c) 12.7 16.5 12.0
SN(E/C) 0.86
1720090 50
RedGreenBlue
z19.07
znorm14.82
sky 14.1 14.0 13.8
S/N 15.9 24.3 24.9
S/N(c) 13.1 16.7 12.3
SN(E/C) 0.85
1720091 50
RedGreenBlue
z19.05
znorm14.80
sky 14.2 13.9 13.8
S/N 15.7 23.7 23.6
S/N(c) 12.6 16.6 12.1
SN(E/C) 0.85