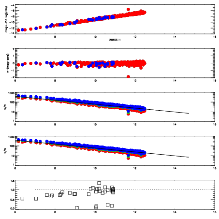
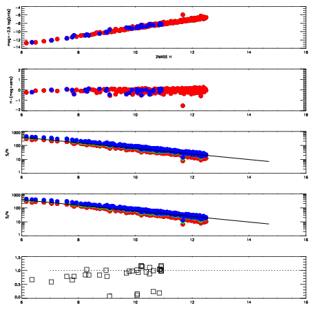
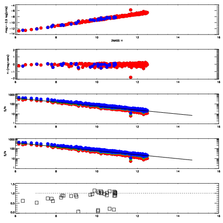
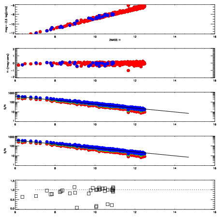
Left plots: red are targets, blue are telluric. Observed mags are calculated from median value of green chip. Zeropoint gives overall throughput: bigger number is more throughput.
First spatial plots: circles are objects, squares are tellurics, crosses are sky fibers. Colors give deviation of observed mag from expected 2MASS mag using the median zeropoint; red is brighter
Second spatial plots: circles are sky fibers. Colors give sky line brightness relative to plate median sky line brightness
FrameNreadsZeropointsMag plots Spatial mag deviation Spatial sky 16325A emission deviations (filled: sky, open: star) Spatial sky continuum emission Spatial sky telluric CO2 absorption deviations (filled: H < 10)
1950037 50
RedGreenBlue
z19.16
znorm14.91
sky 14.3 14.0 13.8
S/N 16.7 25.2 26.7
S/N(c) 21.2 8.5 8.1
SN(E/C) 0.86
1950038 50
RedGreenBlue
z19.16
znorm14.92
sky 14.3 14.3 14.3
S/N 16.6 25.0 27.6
S/N(c) 21.0 8.5 8.3
SN(E/C) 0.90
1950039 50
RedGreenBlue
z19.14
znorm14.89
sky 14.4 14.4 14.2
S/N 16.4 24.9 26.9
S/N(c) 20.7 8.4 8.1
SN(E/C) 0.94
1950040 50
RedGreenBlue
z18.94
znorm14.69
sky 14.6 14.4 14.4
S/N 14.5 22.8 24.5
S/N(c) 18.6 7.6 7.4
SN(E/C) 0.92
1950041 50
RedGreenBlue
z18.88
znorm14.63
sky 14.3 14.4 14.4
S/N 13.5 21.6 23.3
S/N(c) 17.9 7.4 7.2
SN(E/C) 0.96
1950042 50
RedGreenBlue
z19.03
znorm14.78
sky 14.6 14.3 14.3
S/N 15.3 23.5 25.6
S/N(c) 19.3 8.0 7.8
SN(E/C) 0.90
1950043 50
RedGreenBlue
z18.93
znorm14.68
sky 14.4 14.4 14.4
S/N 14.2 22.0 24.4
S/N(c) 18.2 7.5 7.4
SN(E/C) 0.93