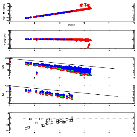
Left plots: red are targets, blue are telluric. Observed mags are calculated from median value of green chip. Zeropoint gives overall throughput: bigger number is more throughput.
First spatial plots: circles are objects, squares are tellurics, crosses are sky fibers. Colors give deviation of observed mag from expected 2MASS mag using the median zeropoint; red is brighter
Second spatial plots: circles are sky fibers. Colors give sky line brightness relative to plate median sky line brightness
FrameNreadsZeropointsMag plots Spatial mag deviation Spatial sky 16325A emission deviations (filled: sky, open: star) Spatial sky continuum emission Spatial sky telluric CO2 absorption deviations (filled: H < 10)
0 0
RedGreenBlue
z17.59
znorm Inf
sky -NaN -NaN -Inf
S/N 3.8 5.4 5.8
S/N(c) 0.0 0.0 0.0
SN(E/C) 0.80

01970052 0.00000 17.3017
01970053 0.00000 16.5985
01970054 0.00000 16.3038
01970057 0.00000 15.7646