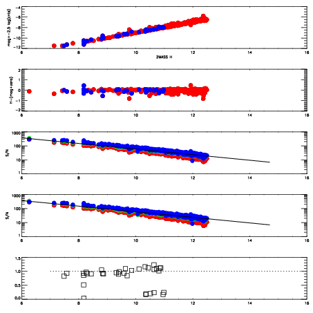
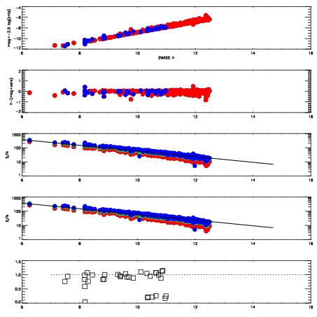
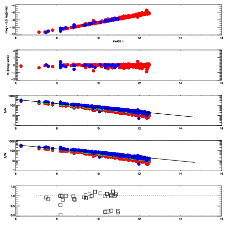
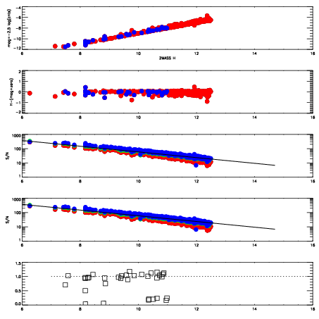
Frame | Nreads | Zeropoints | Mag plots
| Spatial mag deviation
| Spatial sky 16325A emission deviations (filled: sky, open: star)
| Spatial sky continuum emission
| Spatial sky telluric CO2 absorption deviations (filled: H < 10)
|
3120036
| 47
| | Red | Green | Blue
| z | | 18.97
| znorm | | 14.79
| sky | 14.5 | 14.2 | 14.3
| S/N | 14.1 | 22.9 | 24.7
| S/N(c) | 21.5 | 10.6 | 26.7
| SN(E/C) | 0.92
|
|
|
|
|
|
|
3120037
| 47
| | Red | Green | Blue
| z | | 19.04
| znorm | | 14.86
| sky | 14.6 | 14.3 | 14.2
| S/N | 14.6 | 24.2 | 25.5
| S/N(c) | 21.8 | 10.9 | 27.4
| SN(E/C) | 0.93
|
|
|
|
|
|
|
3120038
| 47
| | Red | Green | Blue
| z | | 18.95
| znorm | | 14.77
| sky | 14.3 | 14.1 | 14.2
| S/N | 13.8 | 22.7 | 24.6
| S/N(c) | 20.7 | 10.5 | 26.3
| SN(E/C) | 0.96
|
|
|
|
|
|
|
3120039
| 47
| | Red | Green | Blue
| z | | 18.72
| znorm | | 14.54
| sky | 14.1 | 13.9 | 14.0
| S/N | 11.7 | 19.5 | 21.2
| S/N(c) | 17.9 | 9.0 | 23.1
| SN(E/C) | 0.98
|
|
|
|
|
|
|
3120040
| 47
| | Red | Green | Blue
| z | | 18.61
| znorm | | 14.43
| sky | 13.8 | 13.6 | 13.6
| S/N | 10.3 | 18.0 | 18.6
| S/N(c) | 16.5 | 8.5 | 21.4
| SN(E/C) | 0.96
|
|
|
|
|
|
|
3120041
| 47
| | Red | Green | Blue
| z | | 18.83
| znorm | | 14.65
| sky | 14.0 | 14.0 | 13.8
| S/N | 12.4 | 21.0 | 22.2
| S/N(c) | 19.0 | 9.6 | 24.4
| SN(E/C) | 0.93
|
|
|
|
|
|
|
3120042
| 47
| | Red | Green | Blue
| z | | 19.10
| znorm | | 14.92
| sky | 14.7 | 14.5 | 14.2
| S/N | 15.4 | 25.0 | 26.3
| S/N(c) | 22.9 | 11.3 | 28.4
| SN(E/C) | 0.90
|
|
|
|
|
|
|
3120043
| 47
| | Red | Green | Blue
| z | | 19.04
| znorm | | 14.86
| sky | 14.3 | 14.2 | 14.0
| S/N | 14.6 | 23.6 | 24.9
| S/N(c) | 22.0 | 10.9 | 27.6
| SN(E/C) | 0.88
|
|
|
|
|
|
|