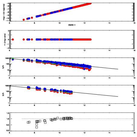
Left plots: red are targets, blue are telluric. Observed mags are calculated from median value of green chip. Zeropoint gives overall throughput: bigger number is more throughput.
First spatial plots: circles are objects, squares are tellurics, crosses are sky fibers. Colors give deviation of observed mag from expected 2MASS mag using the median zeropoint; red is brighter
Second spatial plots: circles are sky fibers. Colors give sky line brightness relative to plate median sky line brightness
FrameNreadsZeropointsMag plots Spatial mag deviation Spatial sky 16325A emission deviations (filled: sky, open: star) Spatial sky continuum emission Spatial sky telluric CO2 absorption deviations (filled: H < 10)
0 0
RedGreenBlue
z17.63
znorm Inf
sky -NaN -NaN -Inf
S/N 23.6 41.6 45.0
S/N(c) 0.0 0.0 0.0
SN(E/C) 0.96

IPAIRNAMESHIFTNEWSHIFTS/N NAMESHIFTNEWSHIFTS/N
0 03120038 0.496404 0.00000 18.9461 03120039 0.00397753 0.492426 18.7119
1 03120042 0.494554 0.00184998 19.0886 03120043 0.00146840 0.494936 19.0194
2 03120037 0.495123 0.00128099 19.0236 03120036 0.00000 0.496404 18.9674
3 03120041 0.493548 0.00285599 18.8135 03120040 0.000897139 0.495507 18.5973