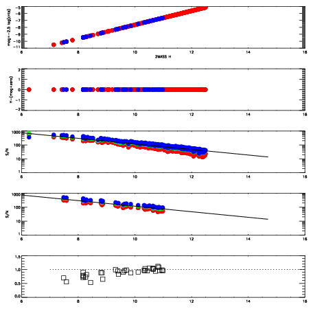
Left plots: red are targets, blue are telluric. Observed mags are calculated from median value of green chip. Zeropoint gives overall throughput: bigger number is more throughput.
First spatial plots: circles are objects, squares are tellurics, crosses are sky fibers. Colors give deviation of observed mag from expected 2MASS mag using the median zeropoint; red is brighter
Second spatial plots: circles are sky fibers. Colors give sky line brightness relative to plate median sky line brightness
FrameNreadsZeropointsMag plots Spatial mag deviation Spatial sky 16325A emission deviations (filled: sky, open: star) Spatial sky continuum emission Spatial sky telluric CO2 absorption deviations (filled: H < 10)
0 0
RedGreenBlue
z17.63
znorm Inf
sky -NaN -NaN -Inf
S/N 26.8 46.9 48.9
S/N(c) 0.0 0.0 0.0
SN(E/C) 0.95

IPAIRNAMESHIFTNEWSHIFTS/N NAMESHIFTNEWSHIFTS/N
0 10810017 0.488870 0.00000 19.0769 10810018 -0.00140781 0.490278 19.0723
1 10810016 0.488608 0.000261992 19.0748 10810015 -0.000963126 0.489833 19.0325
2 10810013 0.486506 0.00236401 19.0106 10810014 -0.00126443 0.490134 19.0267
3 10810012 0.486377 0.00249299 18.9592 10810011 0.00000 0.488870 18.8498