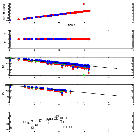
Left plots: red are targets, blue are telluric. Observed mags are calculated from median value of green chip. Zeropoint gives overall throughput: bigger number is more throughput.
First spatial plots: circles are objects, squares are tellurics, crosses are sky fibers. Colors give deviation of observed mag from expected 2MASS mag using the median zeropoint; red is brighter
Second spatial plots: circles are sky fibers. Colors give sky line brightness relative to plate median sky line brightness
FrameNreadsZeropointsMag plots Spatial mag deviation Spatial sky 16325A emission deviations (filled: sky, open: star) Spatial sky continuum emission Spatial sky telluric CO2 absorption deviations (filled: H < 10)
0 0
RedGreenBlue
z17.63
znorm Inf
sky -NaN -NaN -Inf
S/N 20.0 37.3 41.0
S/N(c) 0.0 0.0 0.0
SN(E/C) 0.72

IPAIRNAMESHIFTNEWSHIFTS/N NAMESHIFTNEWSHIFTS/N
0 02590039 0.416291 0.00000 18.9360 02590044 -0.00362546 0.419916 18.8953
1 02590038 0.415565 0.000725985 18.9358 02590041 -0.00714070 0.423432 18.8039
2 02590043 0.414409 0.00188199 18.8278 02590037 0.00000 0.416291 18.7713
3 02590042 0.411493 0.00479800 18.8115 02590040 -0.00227649 0.418567 18.7709