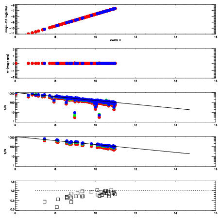
Left plots: red are targets, blue are telluric. Observed mags are calculated from median value of green chip. Zeropoint gives overall throughput: bigger number is more throughput.
First spatial plots: circles are objects, squares are tellurics, crosses are sky fibers. Colors give deviation of observed mag from expected 2MASS mag using the median zeropoint; red is brighter
Second spatial plots: circles are sky fibers. Colors give sky line brightness relative to plate median sky line brightness
FrameNreadsZeropointsMag plots Spatial mag deviation Spatial sky 16325A emission deviations (filled: sky, open: star) Spatial sky continuum emission Spatial sky telluric CO2 absorption deviations (filled: H < 10)
0 0
RedGreenBlue
z17.64
znorm Inf
sky -Inf -Inf -Inf
S/N 34.0 49.3 52.1
S/N(c) 0.0 0.0 0.0
SN(E/C) 0.82

01970032 0.00000 18.7503
01970033 0.00000 18.7874
01970034 0.00000 18.6623
01970035 0.00000 18.8034
01970036 0.00000 18.6192
01970037 0.00000 18.0181
01970038 0.00000 18.6226