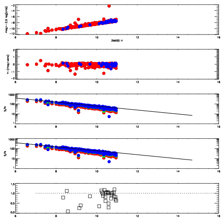
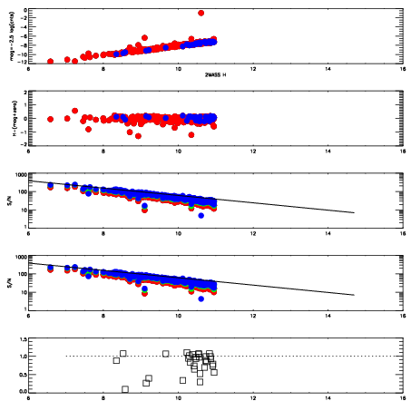
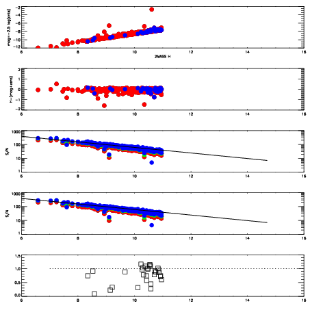
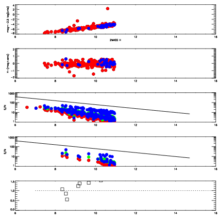
Frame | Nreads | Zeropoints | Mag plots
| Spatial mag deviation
| Spatial sky 16325A emission deviations (filled: sky, open: star)
| Spatial sky continuum emission
| Spatial sky telluric CO2 absorption deviations (filled: H < 10)
|
1910024
| 50
| | Red | Green | Blue
| z | | 18.41
| znorm | | 14.17
| sky | 13.5 | 13.2 | 13.3
| S/N | 12.5 | 17.3 | 18.6
| S/N(c) | 17.4 | 16.3 | 12.9
| SN(E/C) | 0.89
|
|
|
|
|
|
|
1910025
| 50
| | Red | Green | Blue
| z | | 18.39
| znorm | | 14.15
| sky | 13.6 | 13.3 | 13.5
| S/N | 12.4 | 17.2 | 18.7
| S/N(c) | 16.9 | 16.0 | 12.7
| SN(E/C) | 0.87
|
|
|
|
|
|
|
1910026
| 50
| | Red | Green | Blue
| z | | 18.22
| znorm | | 13.97
| sky | 13.6 | 13.4 | 13.5
| S/N | 10.8 | 15.9 | 17.1
| S/N(c) | 14.9 | 14.5 | 11.4
| SN(E/C) | 0.95
|
|
|
|
|
|
|
1910027
| 50
| | Red | Green | Blue
| z | | 18.59
| znorm | | 14.34
| sky | 13.5 | 13.3 | 13.3
| S/N | 13.9 | 19.3 | 20.6
| S/N(c) | 19.0 | 17.8 | 14.0
| SN(E/C) | 0.88
|
|
|
|
|
|
|
1910028
| 50
| | Red | Green | Blue
| z | | 18.30
| znorm | | 14.06
| sky | 12.7 | 12.6 | 12.6
| S/N | 10.9 | 15.2 | 16.5
| S/N(c) | 15.8 | 15.1 | 11.7
| SN(E/C) | 0.89
|
|
|
|
|
|
|
1910029
| 50
| | Red | Green | Blue
| z | | 18.48
| znorm | | 14.23
| sky | 13.5 | 13.4 | 13.5
| S/N | 12.8 | 18.6 | 20.0
| S/N(c) | 17.5 | 16.9 | 13.3
| SN(E/C) | 0.87
|
|
|
|
|
|
|
1910030
| 50
| | Red | Green | Blue
| z | | 17.43
| znorm | | 13.18
| sky | 12.8 | 12.8 | 12.9
| S/N | 5.8 | 9.0 | 10.3
| S/N(c) | 8.7 | 9.0 | 7.4
| SN(E/C) | 0.99
|
|
|
|
|
|
|
1910031
| 50
| | Red | Green | Blue
| z | | 16.78
| znorm | | 12.53
| sky | 12.9 | 12.8 | 12.7
| S/N | 3.7 | 5.9 | 6.2
| S/N(c) | 6.0 | 6.3 | 5.0
| SN(E/C) | 0.94
|
|
|
|
|
|
|
1910032
| 50
| | Red | Green | Blue
| z | | 18.15
| znorm | | 13.91
| sky | 13.6 | 13.5 | 13.5
| S/N | 10.7 | 15.9 | 17.0
| S/N(c) | 15.4 | 14.7 | 11.5
| SN(E/C) | 0.88
|
|
|
|
|
|
|
1910033
| 50
| | Red | Green | Blue
| z | | 18.49
| znorm | | 14.24
| sky | 13.8 | 13.7 | 13.6
| S/N | 13.2 | 19.2 | 20.4
| S/N(c) | 18.7 | 17.8 | 14.0
| SN(E/C) | 0.84
|
|
|
|
|
|
|
1910034
| 50
| | Red | Green | Blue
| z | | 18.66
| znorm | | 14.41
| sky | 13.5 | 13.4 | 13.4
| S/N | 14.7 | 20.7 | 22.3
| S/N(c) | 20.3 | 19.6 | 15.2
| SN(E/C) | 0.85
|
|
|
|
|
|
|
1910035
| 50
| | Red | Green | Blue
| z | | 18.57
| znorm | | 14.33
| sky | 13.5 | 13.4 | 13.4
| S/N | 13.8 | 19.8 | 21.3
| S/N(c) | 19.3 | 18.5 | 14.5
| SN(E/C) | 0.83
|
|
|
|
|
|
|
1910036
| 50
| | Red | Green | Blue
| z | | 15.10
| znorm | | 10.85
| sky | 13.3 | 13.2 | 13.3
| S/N | 0.7 | 1.6 | 1.3
| S/N(c) | 0.0 | 0.0 | 0.0
| SN(E/C) | 2.53
|
|
|
|
|
|
|