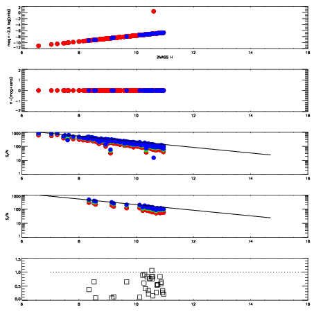
Left plots: red are targets, blue are telluric. Observed mags are calculated from median value of green chip. Zeropoint gives overall throughput: bigger number is more throughput.
First spatial plots: circles are objects, squares are tellurics, crosses are sky fibers. Colors give deviation of observed mag from expected 2MASS mag using the median zeropoint; red is brighter
Second spatial plots: circles are sky fibers. Colors give sky line brightness relative to plate median sky line brightness
FrameNreadsZeropointsMag plots Spatial mag deviation Spatial sky 16325A emission deviations (filled: sky, open: star) Spatial sky continuum emission Spatial sky telluric CO2 absorption deviations (filled: H < 10)
0 0
RedGreenBlue
z17.64
znorm Inf
sky -NaN -NaN -Inf
S/N 36.3 53.3 58.2
S/N(c) 0.0 0.0 0.0
SN(E/C) 0.56

01910024 0.00000 18.3906
01910025 0.00000 18.3744
01910026 0.00000 18.1930
01910027 0.00000 18.5657
01910028 0.00000 18.2900
01910029 0.00000 18.4599
01910030 0.00000 17.4282
01910031 0.00000 16.7661
01910032 0.00000 18.1419
01910033 0.00000 18.4807
01910034 0.00000 18.6516
01910035 0.00000 18.5631