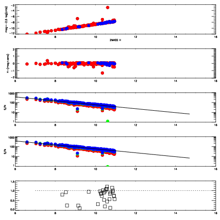
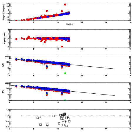
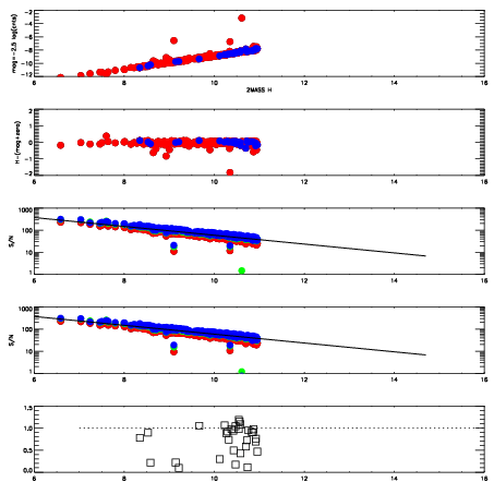
Frame | Nreads | Zeropoints | Mag plots
| Spatial mag deviation
| Spatial sky 16325A emission deviations (filled: sky, open: star)
| Spatial sky continuum emission
| Spatial sky telluric CO2 absorption deviations (filled: H < 10)
|
4870070
| 47
| | Red | Green | Blue
| z | | 18.90
| znorm | | 14.72
| sky | 13.9 | 13.8 | 13.7
| S/N | 16.8 | 24.0 | 25.2
| S/N(c) | 26.0 | 31.1 | 21.2
| SN(E/C) | 0.84
|
|
|
|
|
|
|
4870071
| 47
| | Red | Green | Blue
| z | | 18.90
| znorm | | 14.72
| sky | 14.0 | 13.8 | 13.9
| S/N | 16.6 | 24.1 | 25.6
| S/N(c) | 25.9 | 31.3 | 21.8
| SN(E/C) | 0.89
|
|
|
|
|
|
|
4870072
| 47
| | Red | Green | Blue
| z | | 18.74
| znorm | | 14.56
| sky | 14.0 | 13.9 | 14.0
| S/N | 15.2 | 22.2 | 23.7
| S/N(c) | 23.4 | 28.7 | 20.0
| SN(E/C) | 0.88
|
|
|
|
|
|
|
4870073
| 47
| | Red | Green | Blue
| z | | 18.74
| znorm | | 14.56
| sky | 13.9 | 14.0 | 13.9
| S/N | 15.5 | 22.4 | 24.0
| S/N(c) | 23.7 | 29.0 | 20.1
| SN(E/C) | 0.90
|
|
|
|
|
|
|
4870074
| 47
| | Red | Green | Blue
| z | | 18.81
| znorm | | 14.63
| sky | 14.1 | 13.8 | 13.9
| S/N | 15.8 | 23.1 | 24.8
| S/N(c) | 24.5 | 29.8 | 20.7
| SN(E/C) | 0.90
|
|
|
|
|
|
|
4870075
| 47
| | Red | Green | Blue
| z | | 18.65
| znorm | | 14.47
| sky | 14.0 | 14.0 | 14.0
| S/N | 14.8 | 21.3 | 23.0
| S/N(c) | 22.4 | 27.6 | 19.2
| SN(E/C) | 0.89
|
|
|
|
|
|
|
4870076
| 47
| | Red | Green | Blue
| z | | 18.76
| znorm | | 14.58
| sky | 14.0 | 13.9 | 13.9
| S/N | 15.7 | 22.8 | 24.3
| S/N(c) | 23.6 | 29.2 | 20.3
| SN(E/C) | 0.84
|
|
|
|
|
|
|
4870077
| 47
| | Red | Green | Blue
| z | | 18.69
| znorm | | 14.51
| sky | 14.0 | 13.9 | 13.9
| S/N | 15.2 | 21.9 | 23.5
| S/N(c) | 22.9 | 28.1 | 19.6
| SN(E/C) | 0.87
|
|
|
|
|
|
|