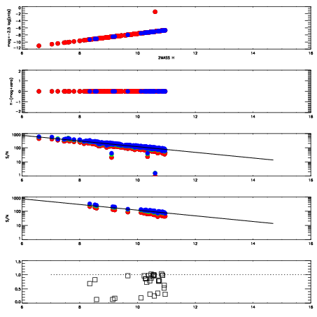
Left plots: red are targets, blue are telluric. Observed mags are calculated from median value of green chip. Zeropoint gives overall throughput: bigger number is more throughput.
First spatial plots: circles are objects, squares are tellurics, crosses are sky fibers. Colors give deviation of observed mag from expected 2MASS mag using the median zeropoint; red is brighter
Second spatial plots: circles are sky fibers. Colors give sky line brightness relative to plate median sky line brightness
FrameNreadsZeropointsMag plots Spatial mag deviation Spatial sky 16325A emission deviations (filled: sky, open: star) Spatial sky continuum emission Spatial sky telluric CO2 absorption deviations (filled: H < 10)
0 0
RedGreenBlue
z17.64
znorm Inf
sky -Inf -Inf -Inf
S/N 28.8 43.5 46.2
S/N(c) 0.0 0.0 0.0
SN(E/C) 0.82

IPAIRNAMESHIFTNEWSHIFTS/N NAMESHIFTNEWSHIFTS/N
0 04870072 0.496419 0.00000 18.7288 04870073 0.000384762 0.496034 18.7408
1 04870071 0.494402 0.00201702 18.8969 04870070 0.00000 0.496419 18.8934
2 04870076 0.496337 8.20160e-05 18.7527 04870074 -0.00175869 0.498178 18.8030
3 04870075 0.495955 0.000464022 18.6407 04870077 0.000596417 0.495823 18.6902