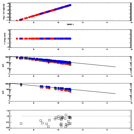
Left plots: red are targets, blue are telluric. Observed mags are calculated from median value of green chip. Zeropoint gives overall throughput: bigger number is more throughput.
First spatial plots: circles are objects, squares are tellurics, crosses are sky fibers. Colors give deviation of observed mag from expected 2MASS mag using the median zeropoint; red is brighter
Second spatial plots: circles are sky fibers. Colors give sky line brightness relative to plate median sky line brightness
FrameNreadsZeropointsMag plots Spatial mag deviation Spatial sky 16325A emission deviations (filled: sky, open: star) Spatial sky continuum emission Spatial sky telluric CO2 absorption deviations (filled: H < 10)
0 0
RedGreenBlue
z17.64
znorm Inf
sky -NaN -Inf -Inf
S/N 32.8 49.3 53.5
S/N(c) 0.0 0.0 0.0
SN(E/C) 0.72

01960031 0.00000 18.6752
01960032 0.00000 18.6300
01960033 0.00000 18.6203
01960034 0.00000 18.5805
01960035 0.00000 18.5999
01960036 0.00000 18.5899
01960037 0.00000 18.5756