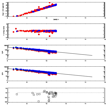
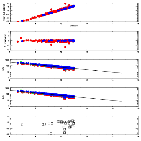
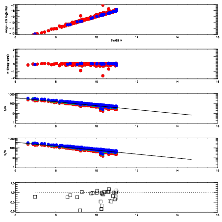
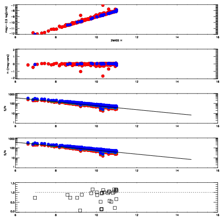
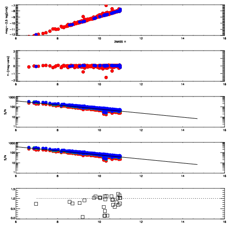
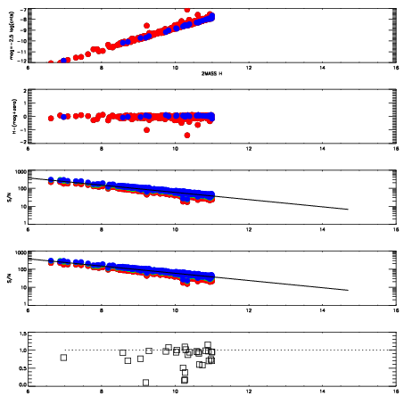
Frame | Nreads | Zeropoints | Mag plots
| Spatial mag deviation
| Spatial sky 16325A emission deviations (filled: sky, open: star)
| Spatial sky continuum emission
| Spatial sky telluric CO2 absorption deviations (filled: H < 10)
|
12740043
| 47
| | Red | Green | Blue
| z | | 18.90
| znorm | | 14.72
| sky | 13.9 | 13.7 | 13.7
| S/N | 17.0 | 24.3 | 25.3
| S/N(c) | 18.3 | 16.7 | 15.1
| SN(E/C) | 0.89
|
|
|
|
|
|
|
12740044
| 47
| | Red | Green | Blue
| z | | 18.94
| znorm | | 14.76
| sky | 13.9 | 13.7 | 13.8
| S/N | 17.2 | 25.1 | 26.3
| S/N(c) | 18.7 | 17.4 | 15.6
| SN(E/C) | 0.90
|
|
|
|
|
|
|
12740045
| 47
| | Red | Green | Blue
| z | | 18.83
| znorm | | 14.65
| sky | 14.0 | 13.7 | 13.8
| S/N | 16.2 | 23.5 | 24.6
| S/N(c) | 17.5 | 16.3 | 14.6
| SN(E/C) | 0.90
|
|
|
|
|
|
|
12740046
| 47
| | Red | Green | Blue
| z | | 18.83
| znorm | | 14.65
| sky | 13.9 | 13.7 | 13.8
| S/N | 16.3 | 23.5 | 24.5
| S/N(c) | 17.8 | 16.5 | 14.8
| SN(E/C) | 0.93
|
|
|
|
|
|
|
12740047
| 47
| | Red | Green | Blue
| z | | 18.92
| znorm | | 14.74
| sky | 13.9 | 13.8 | 13.8
| S/N | 17.0 | 24.6 | 26.0
| S/N(c) | 18.7 | 17.2 | 15.4
| SN(E/C) | 0.90
|
|
|
|
|
|
|
12740048
| 47
| | Red | Green | Blue
| z | | 18.92
| znorm | | 14.74
| sky | 13.9 | 13.8 | 13.8
| S/N | 16.9 | 24.7 | 26.0
| S/N(c) | 18.6 | 17.2 | 15.4
| SN(E/C) | 0.91
|
|
|
|
|
|
|
12740049
| 47
| | Red | Green | Blue
| z | | 18.99
| znorm | | 14.81
| sky | 14.0 | 13.9 | 13.9
| S/N | 17.7 | 25.7 | 27.3
| S/N(c) | 19.4 | 18.0 | 16.2
| SN(E/C) | 0.94
|
|
|
|
|
|
|
12740050
| 47
| | Red | Green | Blue
| z | | 19.05
| znorm | | 14.87
| sky | 14.0 | 13.9 | 13.9
| S/N | 18.3 | 26.6 | 28.1
| S/N(c) | 20.0 | 18.5 | 16.6
| SN(E/C) | 0.95
|
|
|
|
|
|
|