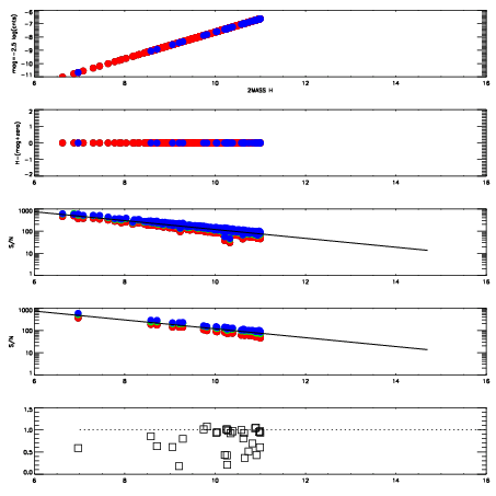
Left plots: red are targets, blue are telluric. Observed mags are calculated from median value of green chip. Zeropoint gives overall throughput: bigger number is more throughput.
First spatial plots: circles are objects, squares are tellurics, crosses are sky fibers. Colors give deviation of observed mag from expected 2MASS mag using the median zeropoint; red is brighter
Second spatial plots: circles are sky fibers. Colors give sky line brightness relative to plate median sky line brightness
FrameNreadsZeropointsMag plots Spatial mag deviation Spatial sky 16325A emission deviations (filled: sky, open: star) Spatial sky continuum emission Spatial sky telluric CO2 absorption deviations (filled: H < 10)
0 0
RedGreenBlue
z17.64
znorm Inf
sky -NaN -NaN -Inf
S/N 31.6 47.0 49.9
S/N(c) 0.0 0.0 0.0
SN(E/C) 0.92

IPAIRNAMESHIFTNEWSHIFTS/N NAMESHIFTNEWSHIFTS/N
0 12740048 0.480523 0.00000 18.9189 12740043 0.00000 0.480523 18.8985
1 12740049 0.479725 0.000797987 18.9988 12740050 -0.00233847 0.482861 19.0539
2 12740044 0.479024 0.00149900 18.9423 12740047 -0.00249151 0.483014 18.9318
3 12740045 0.479561 0.000961989 18.8269 12740046 -0.00228333 0.482806 18.8255