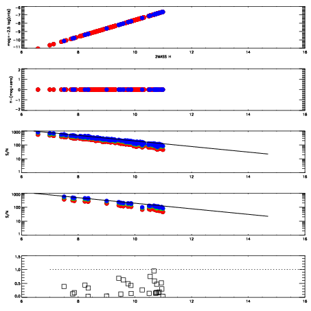
Left plots: red are targets, blue are telluric. Observed mags are calculated from median value of green chip. Zeropoint gives overall throughput: bigger number is more throughput.
First spatial plots: circles are objects, squares are tellurics, crosses are sky fibers. Colors give deviation of observed mag from expected 2MASS mag using the median zeropoint; red is brighter
Second spatial plots: circles are sky fibers. Colors give sky line brightness relative to plate median sky line brightness
FrameNreadsZeropointsMag plots Spatial mag deviation Spatial sky 16325A emission deviations (filled: sky, open: star) Spatial sky continuum emission Spatial sky telluric CO2 absorption deviations (filled: H < 10)
0 0
RedGreenBlue
z17.64
znorm Inf
sky -NaN -NaN -Inf
S/N 35.5 52.3 57.8
S/N(c) 0.0 0.0 0.0
SN(E/C) 0.27

01890040 0.00000 18.4751
01890041 0.00000 18.4481
01890042 0.00000 18.3557
01890043 0.00000 18.3842
01890044 0.00000 18.4085
01890045 0.00000 18.3052
01890046 0.00000 18.3656
01890047 0.00000 18.2161
01890048 0.00000 18.1873
01890049 0.00000 18.2809