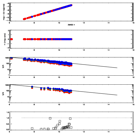
Left plots: red are targets, blue are telluric. Observed mags are calculated from median value of green chip. Zeropoint gives overall throughput: bigger number is more throughput.
First spatial plots: circles are objects, squares are tellurics, crosses are sky fibers. Colors give deviation of observed mag from expected 2MASS mag using the median zeropoint; red is brighter
Second spatial plots: circles are sky fibers. Colors give sky line brightness relative to plate median sky line brightness
FrameNreadsZeropointsMag plots Spatial mag deviation Spatial sky 16325A emission deviations (filled: sky, open: star) Spatial sky continuum emission Spatial sky telluric CO2 absorption deviations (filled: H < 10)
0 0
RedGreenBlue
z17.63
znorm Inf
sky -NaN -NaN -Inf
S/N 30.8 46.7 50.4
S/N(c) 0.0 0.0 0.0
SN(E/C) 0.21

01980020 0.00000 18.6221
01980021 0.00000 18.3748
01980022 0.00000 18.5579
01980023 0.00000 18.4770
01980024 0.00000 18.5574
01980025 0.00000 18.6153
01980026 0.00000 18.6389