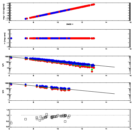
Left plots: red are targets, blue are telluric. Observed mags are calculated from median value of green chip. Zeropoint gives overall throughput: bigger number is more throughput.
First spatial plots: circles are objects, squares are tellurics, crosses are sky fibers. Colors give deviation of observed mag from expected 2MASS mag using the median zeropoint; red is brighter
Second spatial plots: circles are sky fibers. Colors give sky line brightness relative to plate median sky line brightness
FrameNreadsZeropointsMag plots Spatial mag deviation Spatial sky 16325A emission deviations (filled: sky, open: star) Spatial sky continuum emission Spatial sky telluric CO2 absorption deviations (filled: H < 10)
0 0
RedGreenBlue
z17.64
znorm Inf
sky -NaN -NaN -Inf
S/N 23.4 41.6 45.7
S/N(c) 0.0 0.0 0.0
SN(E/C) 0.87

IPAIRNAMESHIFTNEWSHIFTS/N NAMESHIFTNEWSHIFTS/N
0 02490018 0.416958 0.00000 18.9355 02490020 0.00227397 0.414684 19.0304
1 02490017 0.415125 0.00183299 18.9151 02490016 0.00000 0.416958 18.9795
2 02490022 0.416392 0.000566006 18.8343 02490019 0.00303282 0.413925 18.9590
3 02490021 0.414918 0.00204000 18.8223 02490023 0.00297766 0.413980 18.9495