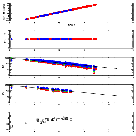
Left plots: red are targets, blue are telluric. Observed mags are calculated from median value of green chip. Zeropoint gives overall throughput: bigger number is more throughput.
First spatial plots: circles are objects, squares are tellurics, crosses are sky fibers. Colors give deviation of observed mag from expected 2MASS mag using the median zeropoint; red is brighter
Second spatial plots: circles are sky fibers. Colors give sky line brightness relative to plate median sky line brightness
FrameNreadsZeropointsMag plots Spatial mag deviation Spatial sky 16325A emission deviations (filled: sky, open: star) Spatial sky continuum emission Spatial sky telluric CO2 absorption deviations (filled: H < 10)
0 0
RedGreenBlue
z17.64
znorm Inf
sky -Inf -Inf -Inf
S/N 26.0 43.7 48.3
S/N(c) 0.0 0.0 0.0
SN(E/C) 0.88

IPAIRNAMESHIFTNEWSHIFTS/N NAMESHIFTNEWSHIFTS/N
0 02780020 0.417742 0.00000 18.8842 02780021 0.00816349 0.409579 18.8985
1 02780015 0.413505 0.00423703 19.0789 02780018 0.00173207 0.416010 19.0954
2 02780016 0.416932 0.000810027 19.0017 02780017 0.00787606 0.409866 19.0951
3 02780019 0.415686 0.00205600 18.9844 02780014 0.00000 0.417742 19.0274