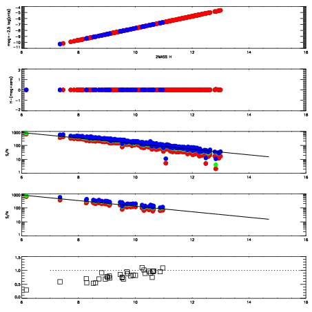
Left plots: red are targets, blue are telluric. Observed mags are calculated from median value of green chip. Zeropoint gives overall throughput: bigger number is more throughput.
First spatial plots: circles are objects, squares are tellurics, crosses are sky fibers. Colors give deviation of observed mag from expected 2MASS mag using the median zeropoint; red is brighter
Second spatial plots: circles are sky fibers. Colors give sky line brightness relative to plate median sky line brightness
FrameNreadsZeropointsMag plots Spatial mag deviation Spatial sky 16325A emission deviations (filled: sky, open: star) Spatial sky continuum emission Spatial sky telluric CO2 absorption deviations (filled: H < 10)
0 0
RedGreenBlue
z17.64
znorm Inf
sky -Inf -Inf -Inf
S/N 31.9 54.2 58.1
S/N(c) 0.0 0.0 0.0
SN(E/C) 0.80

IPAIRNAMESHIFTNEWSHIFTS/N NAMESHIFTNEWSHIFTS/N
0 02890012 0.407613 0.00000 19.1474 02890013 0.000734072 0.406879 19.1561
1 02890015 0.399894 0.00771901 19.1793 02890017 0.00287342 0.404740 19.1819
2 02890016 0.400037 0.00757602 19.1765 02890014 0.00148576 0.406127 19.1707
3 02890019 0.398522 0.00909102 19.1243 02890018 0.000893861 0.406719 19.1209
4 02890011 0.406877 0.000735998 19.1180 02890010 0.00000 0.407613 19.0930