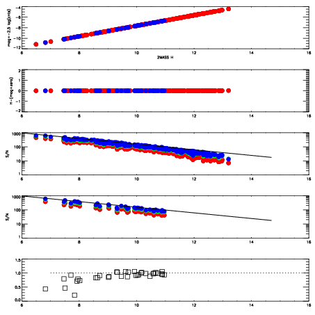
Left plots: red are targets, blue are telluric. Observed mags are calculated from median value of green chip. Zeropoint gives overall throughput: bigger number is more throughput.
First spatial plots: circles are objects, squares are tellurics, crosses are sky fibers. Colors give deviation of observed mag from expected 2MASS mag using the median zeropoint; red is brighter
Second spatial plots: circles are sky fibers. Colors give sky line brightness relative to plate median sky line brightness
FrameNreadsZeropointsMag plots Spatial mag deviation Spatial sky 16325A emission deviations (filled: sky, open: star) Spatial sky continuum emission Spatial sky telluric CO2 absorption deviations (filled: H < 10)
0 0
RedGreenBlue
z17.64
znorm Inf
sky -Inf -Inf -Inf
S/N 20.6 37.1 39.3
S/N(c) 0.0 0.0 0.0
SN(E/C) 0.92

IPAIRNAMESHIFTNEWSHIFTS/N NAMESHIFTNEWSHIFTS/N
0 02510021 0.413208 0.00000 17.7939 02510018 0.000700177 0.412508 18.5985
1 02510012 0.403939 0.00926900 18.9780 02510014 0.00102396 0.412184 18.9127
2 02510013 0.406480 0.00672799 18.8707 02510011 0.00000 0.413208 18.8605
3 02510020 0.409331 0.00387701 18.2628 02510015 -0.000495967 0.413704 18.8576
4 02510017 0.411106 0.00210202 17.2210 02510019 -0.00191195 0.415120 15.8227
5 02510016 0.409818 0.00339001 15.3280 02510022 0.00108731 0.412121 15.8208