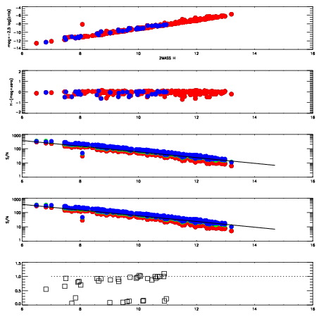
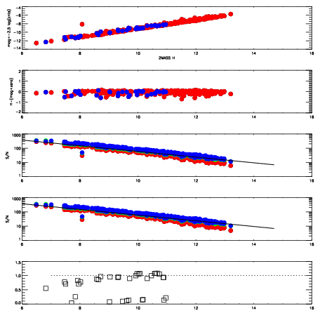
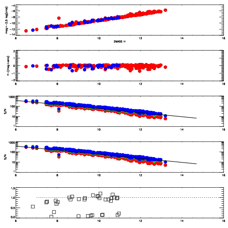
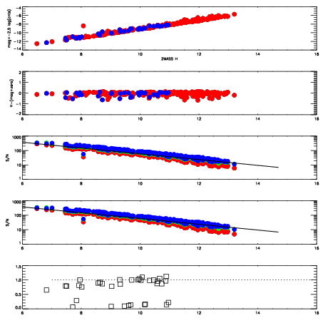
Frame | Nreads | Zeropoints | Mag plots
| Spatial mag deviation
| Spatial sky 16325A emission deviations (filled: sky, open: star)
| Spatial sky continuum emission
| Spatial sky telluric CO2 absorption deviations (filled: H < 10)
|
2870012
| 47
| | Red | Green | Blue
| z | | 19.16
| znorm | | 14.98
| sky | 14.5 | 14.3 | 14.1
| S/N | 16.6 | 27.6 | 29.1
| S/N(c) | 19.7 | 4.3 | 6.1
| SN(E/C) | 0.83
|
|
|
|
|
|
|
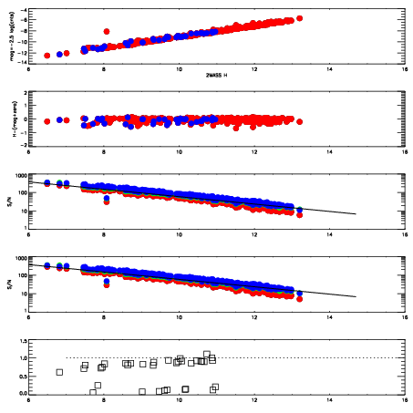
2870013
| 47
| | Red | Green | Blue
| z | | 19.17
| znorm | | 14.99
| sky | 14.6 | 14.4 | 14.6
| S/N | 16.3 | 27.2 | 29.0
| S/N(c) | 19.7 | 4.4 | 6.2
| SN(E/C) | 0.88
|
|
|
|
|
|
|
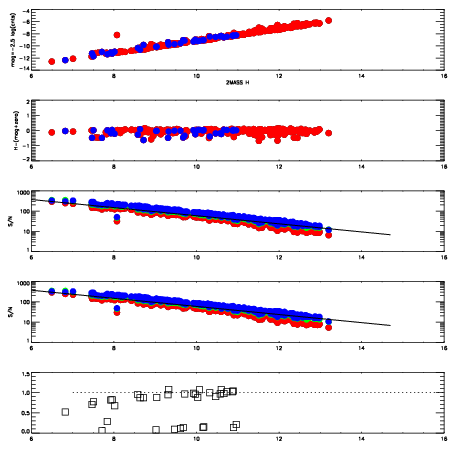
2870014
| 47
| | Red | Green | Blue
| z | | 19.15
| znorm | | 14.97
| sky | 14.6 | 14.5 | 14.6
| S/N | 15.9 | 26.3 | 28.5
| S/N(c) | 19.6 | 4.3 | 6.3
| SN(E/C) | 0.86
|
|
|
|
|
|
|
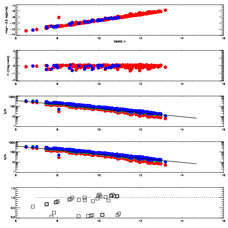
2870015
| 47
| | Red | Green | Blue
| z | | 19.17
| znorm | | 14.99
| sky | 14.7 | 14.6 | 14.5
| S/N | 16.1 | 26.4 | 28.4
| S/N(c) | 19.8 | 4.4 | 6.3
| SN(E/C) | 0.87
|
|
|
|
|
|
|
2870016
| 47
| | Red | Green | Blue
| z | | 19.19
| znorm | | 15.01
| sky | 14.8 | 14.5 | 14.7
| S/N | 16.2 | 26.5 | 28.6
| S/N(c) | 19.9 | 4.4 | 6.4
| SN(E/C) | 0.87
|
|
|
|
|
|
|
2870017
| 47
| | Red | Green | Blue
| z | | 19.15
| znorm | | 14.97
| sky | 14.7 | 14.6 | 14.6
| S/N | 15.4 | 25.7 | 27.7
| S/N(c) | 19.4 | 4.3 | 6.3
| SN(E/C) | 0.86
|
|
|
|
|
|
|
2870018
| 47
| | Red | Green | Blue
| z | | 19.15
| znorm | | 14.97
| sky | 14.7 | 14.6 | 14.6
| S/N | 15.8 | 25.8 | 27.9
| S/N(c) | 19.5 | 4.3 | 6.3
| SN(E/C) | 0.90
|
|
|
|
|
|
|
2870019
| 47
| | Red | Green | Blue
| z | | 19.14
| znorm | | 14.96
| sky | 14.8 | 14.5 | 14.7
| S/N | 15.4 | 25.5 | 27.5
| S/N(c) | 19.4 | 4.3 | 6.3
| SN(E/C) | 0.87
|
|
|
|
|
|
|