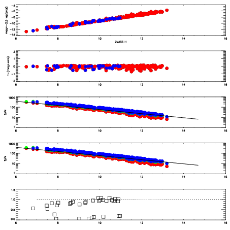
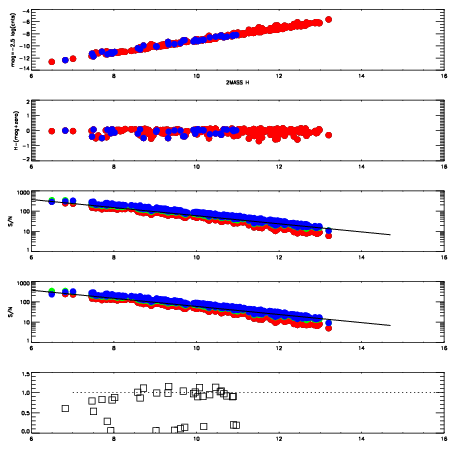
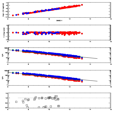
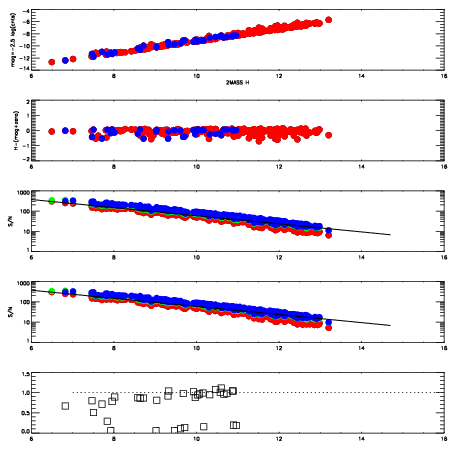
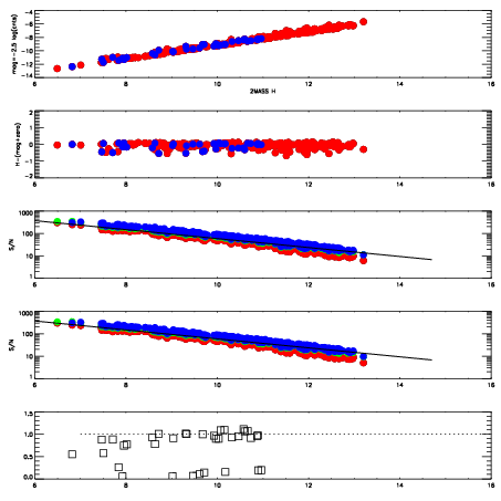
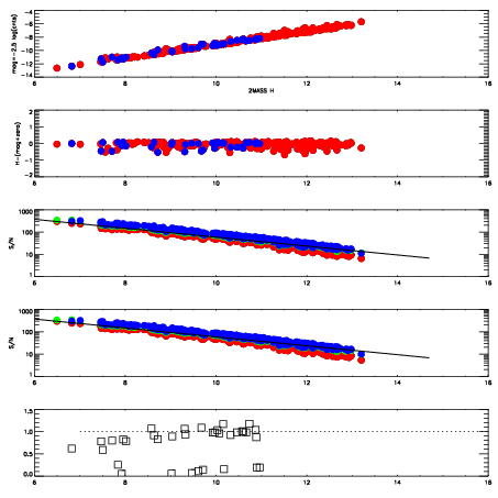
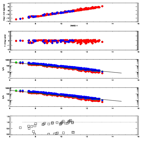
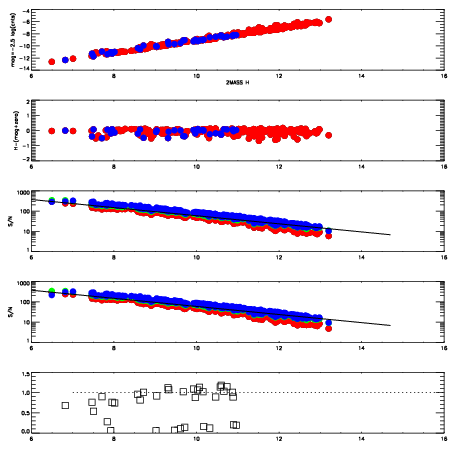
Frame | Nreads | Zeropoints | Mag plots
| Spatial mag deviation
| Spatial sky 16325A emission deviations (filled: sky, open: star)
| Spatial sky continuum emission
| Spatial sky telluric CO2 absorption deviations (filled: H < 10)
|
3040008
| 47
| | Red | Green | Blue
| z | | 19.12
| znorm | | 14.94
| sky | 14.4 | 14.1 | 13.9
| S/N | 16.1 | 26.5 | 27.1
| S/N(c) | 36.6 | 25.4 | 16.0
| SN(E/C) | 0.88
|
|
|
|
|
|
|
3040009
| 47
| | Red | Green | Blue
| z | | 19.17
| znorm | | 14.99
| sky | 14.4 | 14.3 | 14.2
| S/N | 16.5 | 27.0 | 27.9
| S/N(c) | 36.8 | 26.3 | 16.4
| SN(E/C) | 0.89
|
|
|
|
|
|
|
3040010
| 47
| | Red | Green | Blue
| z | | 19.18
| znorm | | 15.00
| sky | 14.4 | 14.3 | 14.2
| S/N | 16.0 | 26.7 | 27.8
| S/N(c) | 37.0 | 26.5 | 16.8
| SN(E/C) | 0.89
|
|
|
|
|
|
|
3040011
| 47
| | Red | Green | Blue
| z | | 19.23
| znorm | | 15.05
| sky | 14.5 | 14.4 | 14.3
| S/N | 16.8 | 27.6 | 28.4
| S/N(c) | 37.5 | 27.1 | 17.3
| SN(E/C) | 0.83
|
|
|
|
|
|
|
3040012
| 47
| | Red | Green | Blue
| z | | 19.23
| znorm | | 15.04
| sky | 14.5 | 14.4 | 14.3
| S/N | 16.9 | 27.5 | 28.5
| S/N(c) | 37.6 | 27.2 | 17.4
| SN(E/C) | 0.86
|
|
|
|
|
|
|
3040013
| 47
| | Red | Green | Blue
| z | | 19.22
| znorm | | 15.04
| sky | 14.4 | 14.3 | 14.3
| S/N | 16.3 | 27.0 | 28.5
| S/N(c) | 37.1 | 26.9 | 17.2
| SN(E/C) | 0.87
|
|
|
|
|
|
|
3040014
| 47
| | Red | Green | Blue
| z | | 19.16
| znorm | | 14.98
| sky | 14.5 | 14.3 | 14.4
| S/N | 15.6 | 26.3 | 27.4
| S/N(c) | 36.2 | 26.1 | 16.9
| SN(E/C) | 0.90
|
|
|
|
|
|
|
3040015
| 47
| | Red | Green | Blue
| z | | 19.14
| znorm | | 14.96
| sky | 14.6 | 14.4 | 14.2
| S/N | 15.6 | 26.6 | 27.8
| S/N(c) | 36.0 | 25.7 | 16.8
| SN(E/C) | 0.89
|
|
|
|
|
|
|