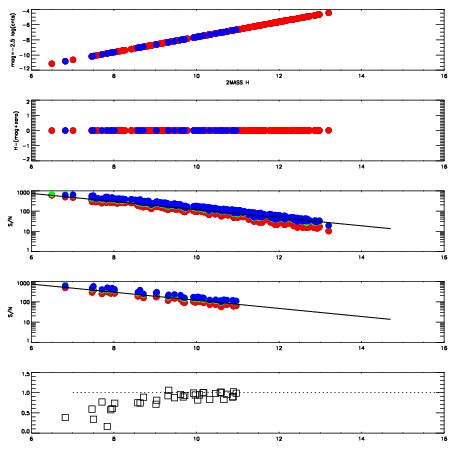
Left plots: red are targets, blue are telluric. Observed mags are calculated from median value of green chip. Zeropoint gives overall throughput: bigger number is more throughput.
First spatial plots: circles are objects, squares are tellurics, crosses are sky fibers. Colors give deviation of observed mag from expected 2MASS mag using the median zeropoint; red is brighter
Second spatial plots: circles are sky fibers. Colors give sky line brightness relative to plate median sky line brightness
FrameNreadsZeropointsMag plots Spatial mag deviation Spatial sky 16325A emission deviations (filled: sky, open: star) Spatial sky continuum emission Spatial sky telluric CO2 absorption deviations (filled: H < 10)
0 0
RedGreenBlue
z17.64
znorm Inf
sky -Inf -Inf -Inf
S/N 29.5 50.2 53.2
S/N(c) 0.0 0.0 0.0
SN(E/C) 0.89

IPAIRNAMESHIFTNEWSHIFTS/N NAMESHIFTNEWSHIFTS/N
0 03040010 0.497716 0.00000 19.1717 03040011 0.00154821 0.496168 19.2132
1 03040013 0.490942 0.00677401 19.1998 03040012 -7.05056e-05 0.497787 19.2156
2 03040009 0.495889 0.00182700 19.1612 03040015 -0.00337284 0.501089 19.1294
3 03040014 0.492100 0.00561601 19.1412 03040008 0.00000 0.497716 19.1152