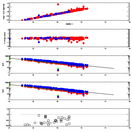
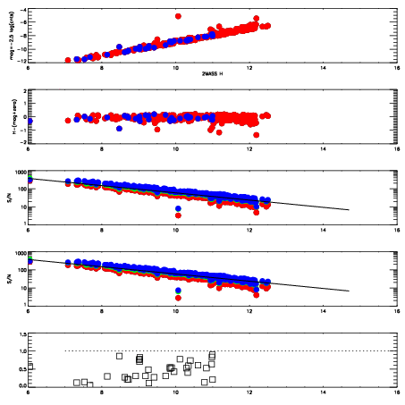
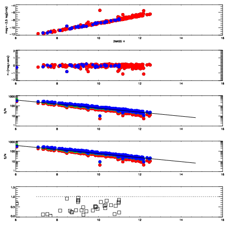
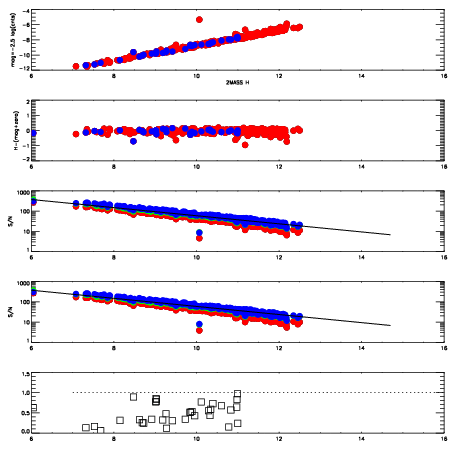
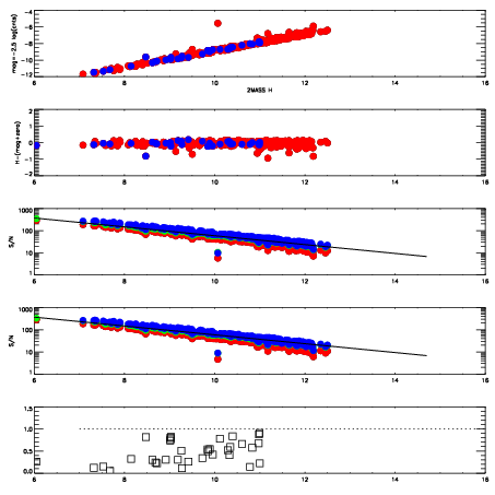
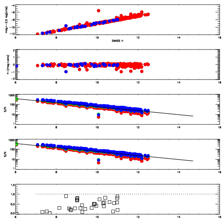
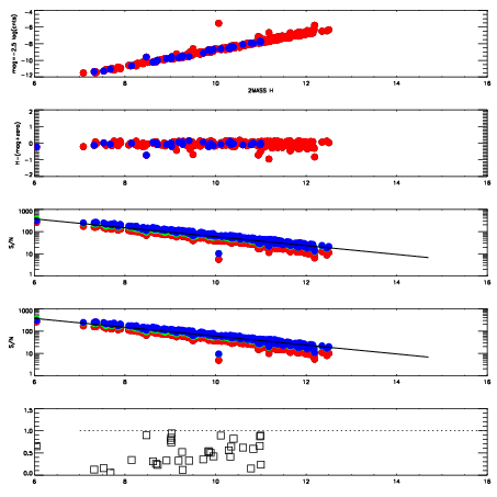
Frame | Nreads | Zeropoints | Mag plots
| Spatial mag deviation
| Spatial sky 16325A emission deviations (filled: sky, open: star)
| Spatial sky continuum emission
| Spatial sky telluric CO2 absorption deviations (filled: H < 10)
|
2600026
| 47
| | Red | Green | Blue
| z | | 19.09
| znorm | | 14.91
| sky | 14.5 | 14.3 | 14.2
| S/N | 14.7 | 25.0 | 26.0
| S/N(c) | 17.5 | 21.7 | 16.4
| SN(E/C) | 0.44
|
|
|
|
|
|
|
2600027
| 47
| | Red | Green | Blue
| z | | 19.05
| znorm | | 14.87
| sky | 14.5 | 14.4 | 14.7
| S/N | 14.4 | 24.5 | 25.6
| S/N(c) | 16.8 | 20.9 | 16.2
| SN(E/C) | 0.45
|
|
|
|
|
|
|
2600028
| 47
| | Red | Green | Blue
| z | | 18.98
| znorm | | 14.80
| sky | 14.6 | 14.7 | 14.7
| S/N | 13.7 | 23.7 | 25.0
| S/N(c) | 16.2 | 20.5 | 15.7
| SN(E/C) | 0.46
|
|
|
|
|
|
|
2600029
| 47
| | Red | Green | Blue
| z | | 18.91
| znorm | | 14.73
| sky | 14.7 | 14.8 | 14.8
| S/N | 12.7 | 22.7 | 23.9
| S/N(c) | 15.5 | 19.6 | 15.2
| SN(E/C) | 0.49
|
|
|
|
|
|
|
2600030
| 47
| | Red | Green | Blue
| z | | 18.80
| znorm | | 14.62
| sky | 14.7 | 14.8 | 14.9
| S/N | 11.9 | 21.3 | 22.4
| S/N(c) | 14.5 | 18.6 | 14.4
| SN(E/C) | 0.52
|
|
|
|
|
|
|
2600031
| 47
| | Red | Green | Blue
| z | | 18.80
| znorm | | 14.62
| sky | 14.6 | 14.7 | 14.8
| S/N | 12.4 | 21.6 | 22.4
| S/N(c) | 14.6 | 18.6 | 14.6
| SN(E/C) | 0.52
|
|
|
|
|
|
|
2600032
| 47
| | Red | Green | Blue
| z | | 18.90
| znorm | | 14.71
| sky | 14.9 | 14.8 | 14.7
| S/N | 12.6 | 22.3 | 23.4
| S/N(c) | 15.5 | 19.7 | 15.3
| SN(E/C) | 0.49
|
|
|
|
|
|
|
2600033
| 47
| | Red | Green | Blue
| z | | 19.00
| znorm | | 14.82
| sky | 14.5 | 14.6 | 14.7
| S/N | 13.5 | 23.1 | 24.8
| S/N(c) | 16.6 | 20.8 | 16.2
| SN(E/C) | 0.51
|
|
|
|
|
|
|