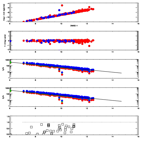
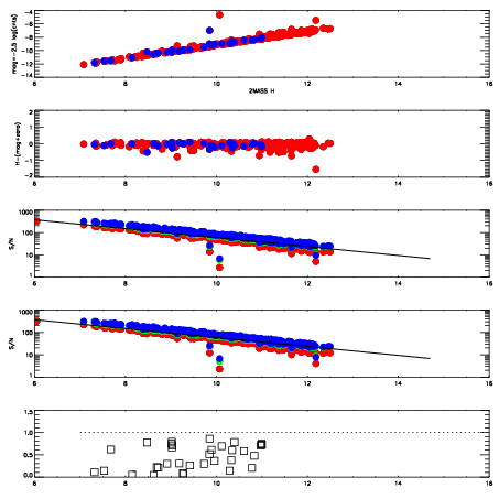
Frame | Nreads | Zeropoints | Mag plots
| Spatial mag deviation
| Spatial sky 16325A emission deviations (filled: sky, open: star)
| Spatial sky continuum emission
| Spatial sky telluric CO2 absorption deviations (filled: H < 10)
|
3050009
| 47
| | Red | Green | Blue
| z | | 18.94
| znorm | | 14.76
| sky | 14.3 | 14.1 | 14.0
| S/N | 14.4 | 23.6 | 24.2
| S/N(c) | 25.3 | 32.5 | 19.6
| SN(E/C) | 0.53
|
|
|
|
|
|
|
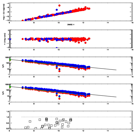
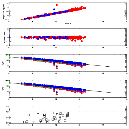
3050010
| 47
| | Red | Green | Blue
| z | | 18.97
| znorm | | 14.79
| sky | 14.4 | 14.4 | 14.3
| S/N | 14.1 | 23.5 | 24.5
| S/N(c) | 25.5 | 32.9 | 19.9
| SN(E/C) | 0.51
|
|
|
|
|
|
|
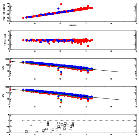
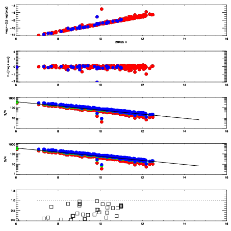
3050011
| 47
| | Red | Green | Blue
| z | | 18.99
| znorm | | 14.81
| sky | 14.5 | 14.5 | 14.3
| S/N | 14.0 | 23.6 | 24.8
| S/N(c) | 25.5 | 33.1 | 19.9
| SN(E/C) | 0.50
|
|
|
|
|
|
|
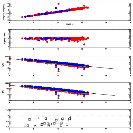
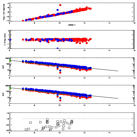
3050012
| 47
| | Red | Green | Blue
| z | | 18.98
| znorm | | 14.80
| sky | 14.6 | 14.4 | 14.4
| S/N | 13.8 | 23.6 | 24.5
| S/N(c) | 25.7 | 33.0 | 19.9
| SN(E/C) | 0.53
|
|
|
|
|
|
|
3050013
| 47
| | Red | Green | Blue
| z | | 19.07
| znorm | | 14.89
| sky | 14.5 | 14.5 | 14.4
| S/N | 14.7 | 24.7 | 26.2
| S/N(c) | 27.1 | 34.5 | 20.9
| SN(E/C) | 0.48
|
|
|
|
|
|
|
3050014
| 47
| | Red | Green | Blue
| z | | 19.16
| znorm | | 14.98
| sky | 14.4 | 14.5 | 14.4
| S/N | 15.7 | 25.9 | 27.2
| S/N(c) | 28.1 | 35.4 | 21.6
| SN(E/C) | 0.51
|
|
|
|
|
|
|
3050015
| 47
| | Red | Green | Blue
| z | | 19.18
| znorm | | 15.00
| sky | 14.4 | 14.4 | 14.4
| S/N | 15.9 | 26.0 | 27.5
| S/N(c) | 28.4 | 36.0 | 22.0
| SN(E/C) | 0.54
|
|
|
|
|
|
|
3050016
| 47
| | Red | Green | Blue
| z | | 19.20
| znorm | | 15.02
| sky | 14.6 | 14.4 | 14.3
| S/N | 16.1 | 26.1 | 27.8
| S/N(c) | 28.6 | 36.1 | 22.3
| SN(E/C) | 0.51
|
|
|
|
|
|
|