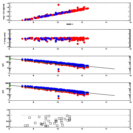
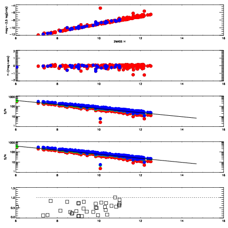
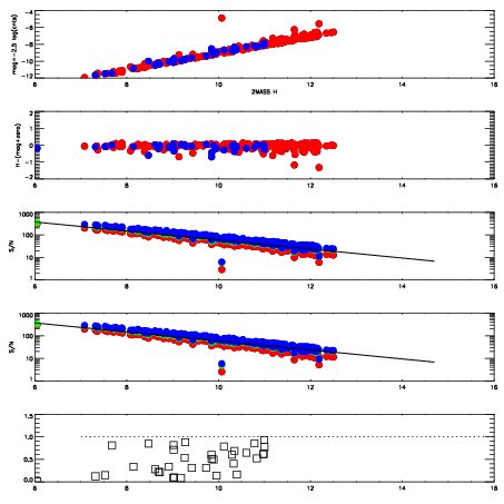
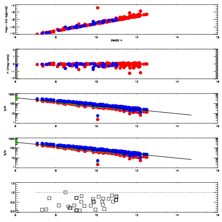
Left plots: red are targets, blue are telluric. Observed mags are calculated from median value of green chip. Zeropoint gives overall throughput: bigger number is more throughput.
First spatial plots: circles are objects, squares are tellurics, crosses are sky fibers. Colors give deviation of observed mag from expected 2MASS mag using the median zeropoint; red is brighter
Second spatial plots: circles are sky fibers. Colors give sky line brightness relative to plate median sky line brightness
FrameNreadsZeropointsMag plots Spatial mag deviation Spatial sky 16325A emission deviations (filled: sky, open: star) Spatial sky continuum emission Spatial sky telluric CO2 absorption deviations (filled: H < 10)
5280026 47
RedGreenBlue
z19.06
znorm14.88
sky 14.4 14.5 14.4
S/N 15.4 25.0 25.9
S/N(c) 20.5 23.2 6.4
SN(E/C) 0.51
5280027 47
RedGreenBlue
z19.10
znorm14.92
sky 14.5 14.5 14.8
S/N 15.7 25.7 26.7
S/N(c) 21.0 23.9 6.6
SN(E/C) 0.53
5280028 47
RedGreenBlue
z19.07
znorm14.89
sky 14.5 14.5 14.8
S/N 15.1 25.0 26.7
S/N(c) 20.7 23.5 6.5
SN(E/C) 0.51
5280029 47
RedGreenBlue
z19.07
znorm14.89
sky 14.5 14.6 14.8
S/N 15.2 25.3 26.8
S/N(c) 20.7 23.4 6.5
SN(E/C) 0.51