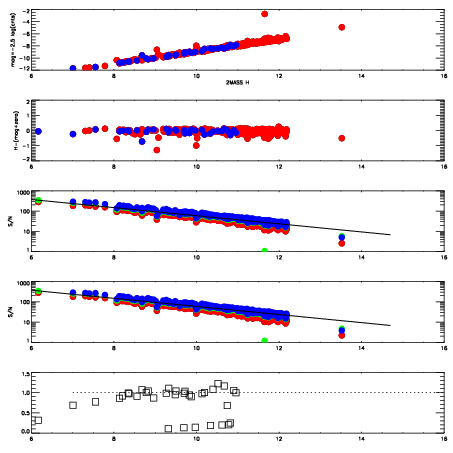
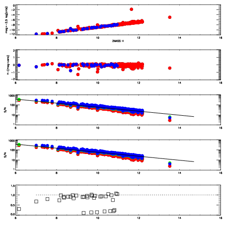
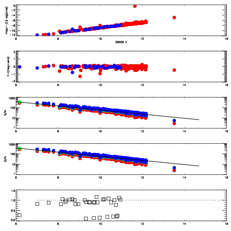
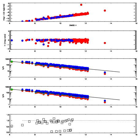
Frame | Nreads | Zeropoints | Mag plots
| Spatial mag deviation
| Spatial sky 16325A emission deviations (filled: sky, open: star)
| Spatial sky continuum emission
| Spatial sky telluric CO2 absorption deviations (filled: H < 10)
|
6070025
| 47
| | Red | Green | Blue
| z | | 18.96
| znorm | | 14.78
| sky | 14.4 | 14.3 | 14.2
| S/N | 14.2 | 22.8 | 23.6
| S/N(c) | 15.1 | 18.7 | 11.5
| SN(E/C) | 0.91
|
|
|
|
|
|
|
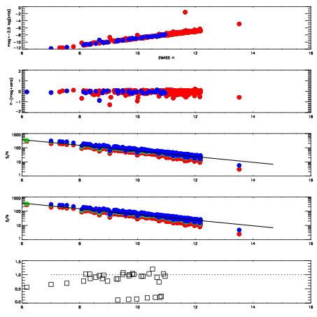
6070026
| 47
| | Red | Green | Blue
| z | | 18.96
| znorm | | 14.78
| sky | 14.4 | 14.2 | 14.5
| S/N | 13.7 | 22.8 | 24.0
| S/N(c) | 14.7 | 18.7 | 11.5
| SN(E/C) | 0.94
|
|
|
|
|
|
|
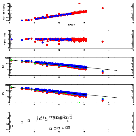
6070027
| 47
| | Red | Green | Blue
| z | | 18.94
| znorm | | 14.76
| sky | 14.4 | 14.2 | 14.4
| S/N | 14.1 | 22.7 | 23.7
| S/N(c) | 14.6 | 18.4 | 11.4
| SN(E/C) | 0.96
|
|
|
|
|
|
|
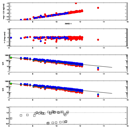
6070028
| 47
| | Red | Green | Blue
| z | | 18.91
| znorm | | 14.73
| sky | 14.4 | 14.3 | 14.4
| S/N | 13.8 | 22.2 | 23.2
| S/N(c) | 14.3 | 18.2 | 11.2
| SN(E/C) | 0.89
|
|
|
|
|
|
|
6070029
| 47
| | Red | Green | Blue
| z | | 18.94
| znorm | | 14.76
| sky | 14.2 | 14.3 | 14.4
| S/N | 13.8 | 23.1 | 23.6
| S/N(c) | 14.6 | 18.6 | 11.4
| SN(E/C) | 0.90
|
|
|
|
|
|
|
6070030
| 47
| | Red | Green | Blue
| z | | 18.98
| znorm | | 14.80
| sky | 14.2 | 14.2 | 14.4
| S/N | 14.2 | 23.8 | 24.2
| S/N(c) | 14.8 | 19.0 | 11.6
| SN(E/C) | 0.93
|
|
|
|
|
|
|
6070031
| 47
| | Red | Green | Blue
| z | | 18.97
| znorm | | 14.79
| sky | 14.4 | 14.2 | 14.4
| S/N | 14.0 | 23.0 | 23.8
| S/N(c) | 14.7 | 18.8 | 11.6
| SN(E/C) | 0.90
|
|
|
|
|
|
|
6070032
| 47
| | Red | Green | Blue
| z | | 19.09
| znorm | | 14.91
| sky | 14.3 | 14.2 | 14.2
| S/N | 15.3 | 24.5 | 25.9
| S/N(c) | 15.7 | 20.0 | 12.4
| SN(E/C) | 0.87
|
|
|
|
|
|
|