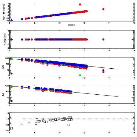
Left plots: red are targets, blue are telluric. Observed mags are calculated from median value of green chip. Zeropoint gives overall throughput: bigger number is more throughput.
First spatial plots: circles are objects, squares are tellurics, crosses are sky fibers. Colors give deviation of observed mag from expected 2MASS mag using the median zeropoint; red is brighter
Second spatial plots: circles are sky fibers. Colors give sky line brightness relative to plate median sky line brightness
FrameNreadsZeropointsMag plots Spatial mag deviation Spatial sky 16325A emission deviations (filled: sky, open: star) Spatial sky continuum emission Spatial sky telluric CO2 absorption deviations (filled: H < 10)
0 0
RedGreenBlue
z17.64
znorm Inf
sky -Inf -Inf -NaN
S/N 24.8 42.8 44.6
S/N(c) 0.0 0.0 0.0
SN(E/C) 0.92

IPAIRNAMESHIFTNEWSHIFTS/N NAMESHIFTNEWSHIFTS/N
0 06070027 0.479892 0.00000 18.9299 06070028 0.00254400 0.477348 18.8894
1 06070030 0.478248 0.00164399 18.9615 06070032 0.00323670 0.476655 19.0726
2 06070031 0.479746 0.000145972 18.9514 06070025 0.00000 0.479892 18.9439
3 06070026 0.479769 0.000122994 18.9385 06070029 0.00190363 0.477988 18.9234