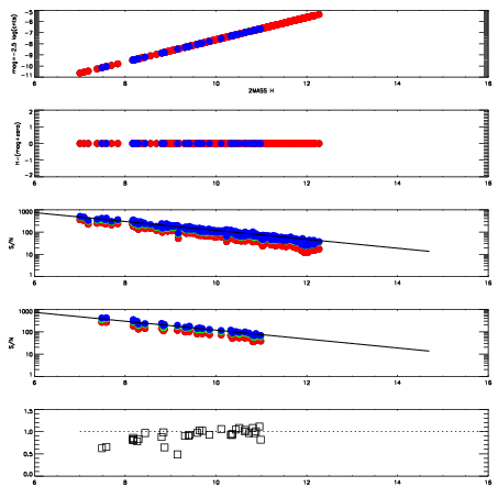
Left plots: red are targets, blue are telluric. Observed mags are calculated from median value of green chip. Zeropoint gives overall throughput: bigger number is more throughput.
First spatial plots: circles are objects, squares are tellurics, crosses are sky fibers. Colors give deviation of observed mag from expected 2MASS mag using the median zeropoint; red is brighter
Second spatial plots: circles are sky fibers. Colors give sky line brightness relative to plate median sky line brightness
FrameNreadsZeropointsMag plots Spatial mag deviation Spatial sky 16325A emission deviations (filled: sky, open: star) Spatial sky continuum emission Spatial sky telluric CO2 absorption deviations (filled: H < 10)
0 0
RedGreenBlue
z17.64
znorm Inf
sky -NaN -NaN -Inf
S/N 18.2 33.7 33.8
S/N(c) 0.0 0.0 0.0
SN(E/C) 0.92

IPAIRNAMESHIFTNEWSHIFTS/N NAMESHIFTNEWSHIFTS/N
0 02810014 0.414886 0.00000 18.4147 02810015 -0.000196221 0.415082 18.3855
1 02810010 0.413022 0.00186399 18.7061 02810008 0.00000 0.414886 18.6549
2 02810009 0.411312 0.00357398 18.6038 02810011 0.000542496 0.414344 18.5773
3 02810013 0.411848 0.00303799 18.4467 02810012 -0.000805716 0.415692 18.4363