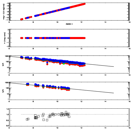
Left plots: red are targets, blue are telluric. Observed mags are calculated from median value of green chip. Zeropoint gives overall throughput: bigger number is more throughput.
First spatial plots: circles are objects, squares are tellurics, crosses are sky fibers. Colors give deviation of observed mag from expected 2MASS mag using the median zeropoint; red is brighter
Second spatial plots: circles are sky fibers. Colors give sky line brightness relative to plate median sky line brightness
FrameNreadsZeropointsMag plots Spatial mag deviation Spatial sky 16325A emission deviations (filled: sky, open: star) Spatial sky continuum emission Spatial sky telluric CO2 absorption deviations (filled: H < 10)
0 0
RedGreenBlue
z17.63
znorm Inf
sky -NaN -NaN -Inf
S/N 24.2 42.6 45.4
S/N(c) 0.0 0.0 0.0
SN(E/C) 0.94

IPAIRNAMESHIFTNEWSHIFTS/N NAMESHIFTNEWSHIFTS/N
0 02820041 0.412306 0.00000 18.9692 02820042 -0.000221781 0.412528 18.9103
1 02820037 0.410205 0.00210100 19.0566 02820038 -0.000121477 0.412427 19.1410
2 02820040 0.409945 0.00236100 19.0207 02820039 -0.00205792 0.414364 19.0303
3 02820036 0.409990 0.00231600 18.9646 02820035 0.00000 0.412306 18.8119