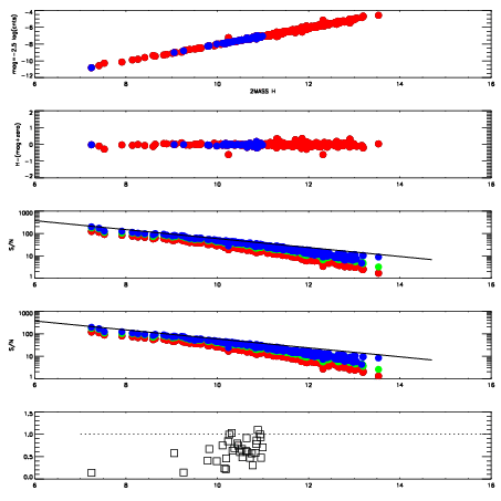
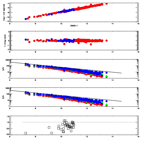
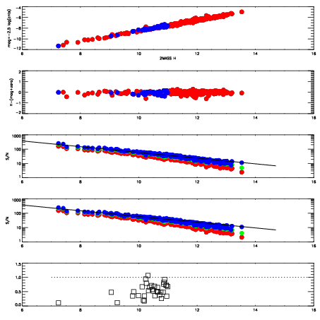
Frame | Nreads | Zeropoints | Mag plots
| Spatial mag deviation
| Spatial sky 16325A emission deviations (filled: sky, open: star)
| Spatial sky continuum emission
| Spatial sky telluric CO2 absorption deviations (filled: H < 10)
|
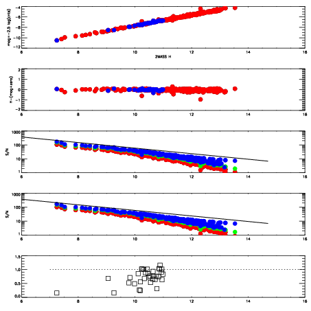
2540011
| 47
| | Red | Green | Blue
| z | | 18.58
| znorm | | 14.40
| sky | 14.0 | 13.6 | 13.5
| S/N | 11.3 | 19.6 | 20.4
| S/N(c) | 13.4 | 9.5 | 19.4
| SN(E/C) | 0.52
|
|
|
|
|
|
|
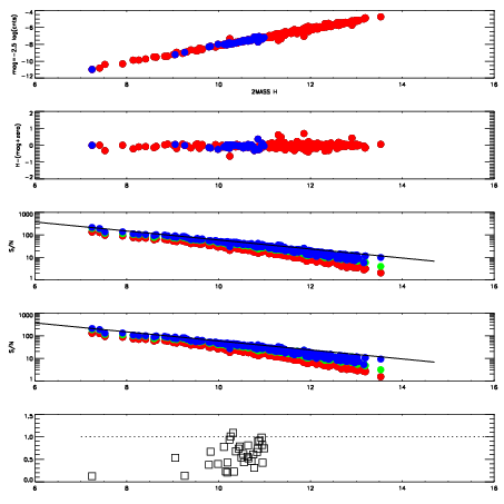
2540012
| 47
| | Red | Green | Blue
| z | | 18.25
| znorm | | 14.07
| sky | 14.1 | 13.9 | 13.9
| S/N | 9.0 | 15.5 | 17.7
| S/N(c) | 10.5 | 8.1 | 16.4
| SN(E/C) | 0.58
|
|
|
|
|
|
|
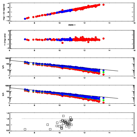
2540013
| 47
| | Red | Green | Blue
| z | | 18.22
| znorm | | 14.04
| sky | 14.0 | 13.9 | 13.8
| S/N | 8.4 | 15.0 | 17.1
| S/N(c) | 10.3 | 7.6 | 16.0
| SN(E/C) | 0.62
|
|
|
|
|
|
|
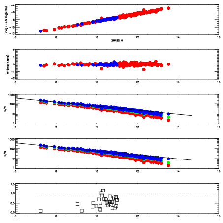
2540014
| 47
| | Red | Green | Blue
| z | | 18.08
| znorm | | 13.90
| sky | 13.6 | 13.5 | 13.5
| S/N | 7.3 | 13.0 | 14.9
| S/N(c) | 9.1 | 6.9 | 14.6
| SN(E/C) | 0.63
|
|
|
|
|
|
|
2540015
| 47
| | Red | Green | Blue
| z | | 17.82
| znorm | | 13.64
| sky | 12.9 | 12.9 | 12.9
| S/N | 5.6 | 9.7 | 11.8
| S/N(c) | 7.5 | 5.7 | 11.4
| SN(E/C) | 0.69
|
|
|
|
|
|
|
2540016
| 47
| | Red | Green | Blue
| z | | 17.69
| znorm | | 13.51
| sky | 12.9 | 12.7 | 12.7
| S/N | 4.7 | 8.4 | 9.6
| S/N(c) | 6.1 | 4.8 | 10.2
| SN(E/C) | 0.75
|
|
|
|
|
|
|
2540017
| 47
| | Red | Green | Blue
| z | | 18.48
| znorm | | 14.30
| sky | 14.4 | 14.0 | 13.9
| S/N | 10.0 | 17.2 | 19.0
| S/N(c) | 12.4 | 9.1 | 18.5
| SN(E/C) | 0.52
|
|
|
|
|
|
|
2540018
| 47
| | Red | Green | Blue
| z | | 18.13
| znorm | | 13.95
| sky | 14.3 | 14.1 | 14.0
| S/N | 8.3 | 14.7 | 16.0
| S/N(c) | 9.8 | 7.5 | 15.7
| SN(E/C) | 0.64
|
|
|
|
|
|
|