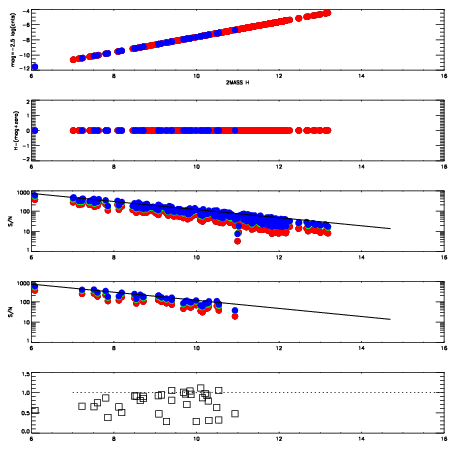
Left plots: red are targets, blue are telluric. Observed mags are calculated from median value of green chip. Zeropoint gives overall throughput: bigger number is more throughput.
First spatial plots: circles are objects, squares are tellurics, crosses are sky fibers. Colors give deviation of observed mag from expected 2MASS mag using the median zeropoint; red is brighter
Second spatial plots: circles are sky fibers. Colors give sky line brightness relative to plate median sky line brightness
FrameNreadsZeropointsMag plots Spatial mag deviation Spatial sky 16325A emission deviations (filled: sky, open: star) Spatial sky continuum emission Spatial sky telluric CO2 absorption deviations (filled: H < 10)
0 0
RedGreenBlue
z17.64
znorm Inf
sky -Inf -Inf -Inf
S/N 13.7 27.4 28.8
S/N(c) 0.0 0.0 0.0
SN(E/C) 0.81

IPAIRNAMESHIFTNEWSHIFTS/N NAMESHIFTNEWSHIFTS/N
0 02600065 0.420396 0.00000 18.1334 02600066 -0.00211887 0.422515 18.1443
1 02600061 0.419167 0.00122899 18.2453 02600063 -0.000964397 0.421360 18.2364
2 02600060 0.418988 0.00140801 18.1582 02600062 -0.000738872 0.421135 18.2150
3 02600064 0.419498 0.000898004 18.1326 02600059 0.00000 0.420396 18.1169