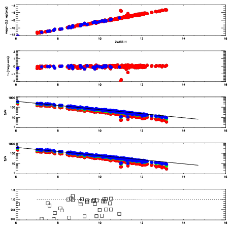
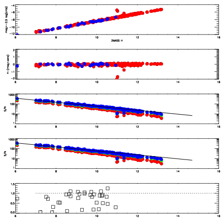
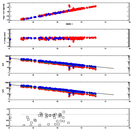
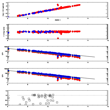
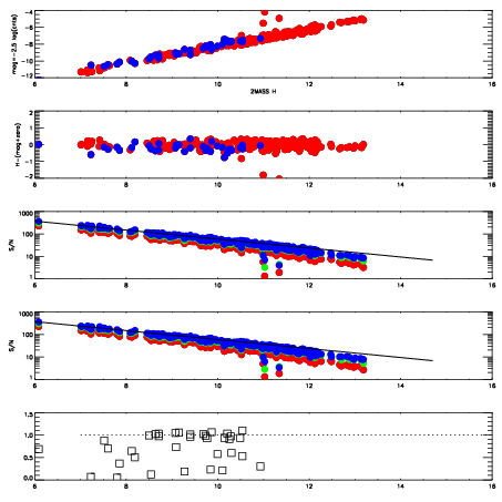
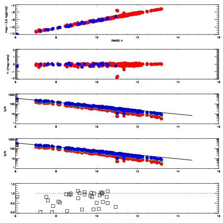
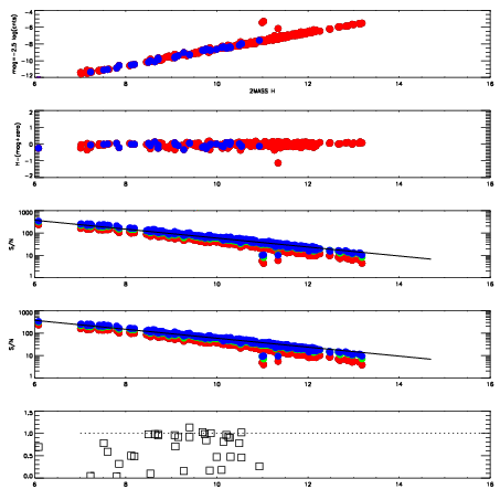
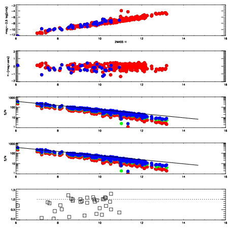
Frame | Nreads | Zeropoints | Mag plots
| Spatial mag deviation
| Spatial sky 16325A emission deviations (filled: sky, open: star)
| Spatial sky continuum emission
| Spatial sky telluric CO2 absorption deviations (filled: H < 10)
|
2790036
| 47
| | Red | Green | Blue
| z | | 18.10
| znorm | | 13.92
| sky | 14.8 | 14.4 | 14.5
| S/N | 8.5 | 14.5 | 15.5
| S/N(c) | 14.3 | 2.4 | 17.2
| SN(E/C) | 0.87
|
|
|
|
|
|
|
2790037
| 47
| | Red | Green | Blue
| z | | 18.31
| znorm | | 14.13
| sky | 14.8 | 14.4 | 14.6
| S/N | 9.5 | 16.4 | 17.7
| S/N(c) | 17.0 | 2.8 | 20.0
| SN(E/C) | 0.91
|
|
|
|
|
|
|
2790038
| 47
| | Red | Green | Blue
| z | | 18.63
| znorm | | 14.45
| sky | 14.7 | 14.4 | 14.5
| S/N | 11.6 | 19.4 | 20.5
| S/N(c) | 20.8 | 3.2 | 23.1
| SN(E/C) | 0.78
|
|
|
|
|
|
|
2790039
| 47
| | Red | Green | Blue
| z | | 18.43
| znorm | | 14.25
| sky | 14.6 | 14.6 | 14.5
| S/N | 10.3 | 17.6 | 18.6
| S/N(c) | 18.3 | 2.9 | 20.9
| SN(E/C) | 0.80
|
|
|
|
|
|
|
2790040
| 47
| | Red | Green | Blue
| z | | 18.32
| znorm | | 14.14
| sky | 14.7 | 14.5 | 14.6
| S/N | 9.1 | 16.3 | 16.9
| S/N(c) | 16.7 | 2.7 | 19.4
| SN(E/C) | 0.82
|
|
|
|
|
|
|
2790041
| 47
| | Red | Green | Blue
| z | | 18.42
| znorm | | 14.24
| sky | 14.7 | 14.6 | 14.6
| S/N | 10.3 | 17.9 | 18.6
| S/N(c) | 18.4 | 2.9 | 20.8
| SN(E/C) | 0.82
|
|
|
|
|
|
|
2790042
| 47
| | Red | Green | Blue
| z | | 18.50
| znorm | | 14.32
| sky | 14.9 | 14.6 | 14.6
| S/N | 11.0 | 18.7 | 19.8
| S/N(c) | 19.2 | 3.0 | 21.8
| SN(E/C) | 0.80
|
|
|
|
|
|
|
2790043
| 47
| | Red | Green | Blue
| z | | 18.67
| znorm | | 14.49
| sky | 14.5 | 14.5 | 14.7
| S/N | 11.8 | 20.7 | 21.3
| S/N(c) | 21.4 | 3.3 | 24.0
| SN(E/C) | 0.77
|
|
|
|
|
|
|