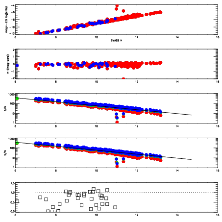
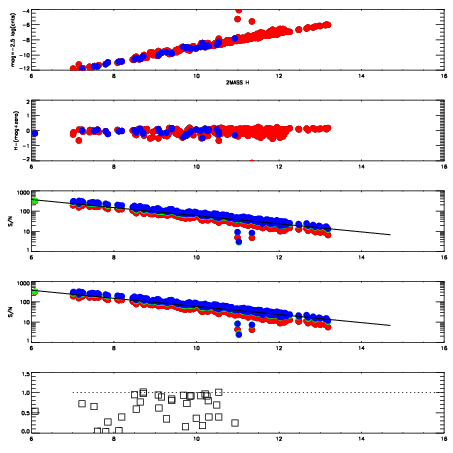
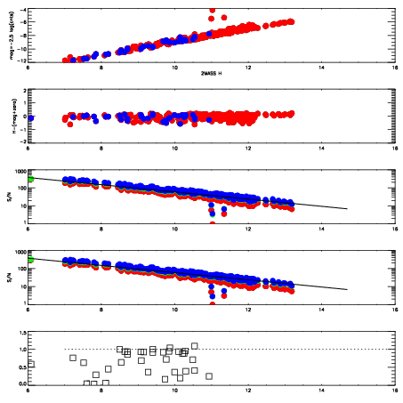
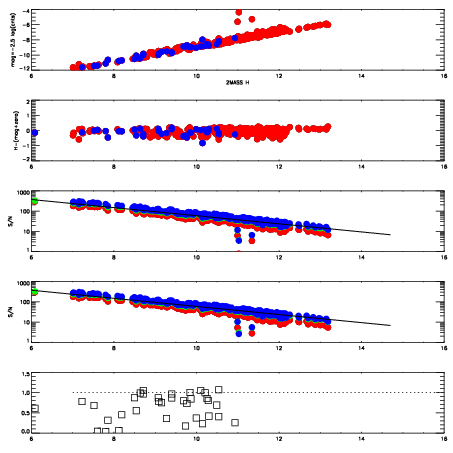
Frame | Nreads | Zeropoints | Mag plots
| Spatial mag deviation
| Spatial sky 16325A emission deviations (filled: sky, open: star)
| Spatial sky continuum emission
| Spatial sky telluric CO2 absorption deviations (filled: H < 10)
|
3040034
| 47
| | Red | Green | Blue
| z | | 18.95
| znorm | | 14.77
| sky | 14.6 | 14.3 | 14.5
| S/N | 13.4 | 21.6 | 23.4
| S/N(c) | 25.0 | 3.8 | 26.9
| SN(E/C) | 0.75
|
|
|
|
|
|
|
3040035
| 47
| | Red | Green | Blue
| z | | 18.98
| znorm | | 14.80
| sky | 14.5 | 14.3 | 14.5
| S/N | 13.7 | 22.7 | 23.7
| S/N(c) | 25.8 | 3.9 | 27.1
| SN(E/C) | 0.72
|
|
|
|
|
|
|
3040036
| 47
| | Red | Green | Blue
| z | | 19.03
| znorm | | 14.85
| sky | 14.3 | 14.3 | 14.6
| S/N | 14.2 | 23.1 | 24.7
| S/N(c) | 26.9 | 4.0 | 28.3
| SN(E/C) | 0.76
|
|
|
|
|
|
|
3040037
| 47
| | Red | Green | Blue
| z | | 19.06
| znorm | | 14.88
| sky | 14.6 | 14.4 | 14.5
| S/N | 14.6 | 23.9 | 25.5
| S/N(c) | 27.2 | 4.1 | 29.1
| SN(E/C) | 0.72
|
|
|
|
|
|
|
3040038
| 47
| | Red | Green | Blue
| z | | 19.05
| znorm | | 14.87
| sky | 14.7 | 14.5 | 14.7
| S/N | 14.8 | 24.5 | 26.2
| S/N(c) | 26.8 | 4.1 | 29.3
| SN(E/C) | 0.70
|
|
|
|
|
|
|
3040039
| 47
| | Red | Green | Blue
| z | | 18.95
| znorm | | 14.77
| sky | 14.5 | 14.5 | 14.7
| S/N | 13.7 | 23.0 | 24.8
| S/N(c) | 25.8 | 3.9 | 27.8
| SN(E/C) | 0.72
|
|
|
|
|
|
|
3040040
| 47
| | Red | Green | Blue
| z | | 19.05
| znorm | | 14.87
| sky | 14.8 | 14.6 | 14.6
| S/N | 15.4 | 24.8 | 26.5
| S/N(c) | 27.0 | 4.1 | 29.2
| SN(E/C) | 0.72
|
|
|
|
|
|
|
3040041
| 47
| | Red | Green | Blue
| z | | 19.04
| znorm | | 14.86
| sky | 14.8 | 14.5 | 14.5
| S/N | 15.2 | 24.7 | 26.9
| S/N(c) | 27.0 | 4.1 | 29.0
| SN(E/C) | 0.75
|
|
|
|
|
|
|