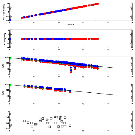
Left plots: red are targets, blue are telluric. Observed mags are calculated from median value of green chip. Zeropoint gives overall throughput: bigger number is more throughput.
First spatial plots: circles are objects, squares are tellurics, crosses are sky fibers. Colors give deviation of observed mag from expected 2MASS mag using the median zeropoint; red is brighter
Second spatial plots: circles are sky fibers. Colors give sky line brightness relative to plate median sky line brightness
FrameNreadsZeropointsMag plots Spatial mag deviation Spatial sky 16325A emission deviations (filled: sky, open: star) Spatial sky continuum emission Spatial sky telluric CO2 absorption deviations (filled: H < 10)
0 0
RedGreenBlue
z17.64
znorm Inf
sky -Inf -Inf -Inf
S/N 25.0 42.4 45.7
S/N(c) 0.0 0.0 0.0
SN(E/C) 0.68

IPAIRNAMESHIFTNEWSHIFTS/N NAMESHIFTNEWSHIFTS/N
0 03040040 0.498302 0.00000 19.0349 03040037 -0.00142614 0.499728 19.0453
1 03040036 0.497899 0.000403017 19.0104 03040038 -0.00201782 0.500320 19.0307
2 03040035 0.497655 0.000647008 18.9624 03040041 0.000960365 0.497342 19.0244
3 03040039 0.496846 0.00145602 18.9431 03040034 0.00000 0.498302 18.9257